0  174190  174198  174204  174208  174214  174216  174220  174226  174228  174234  174240  174244  174246  174250  174256  174258  174264  174268  174270  174274  174276  174280  174282  174284  174285  174286  174288  174289  174290  174292  174294  174298  174300  174304  174306  174310  174316  174318  174324  174328  174330  174334  174340  174346  174348  174354  174358  174360  174366  174370  174376  174384  447090 

11.2 mol NaHCO3和一定量的Na2O2固体在密闭容器中加热,使其充分反应,测得150℃时,容器中仅剩余两种气体,则容器中剩余的固体                           (   )

A.只有Na2CO3                      B.一定为Na2CO3和NaOH

C.可能有Na2O2                      D.可能有NaOH

试题详情

10.下列溶液中,说法正确的是                                       (   )

A.NaHCO3溶液中可以大量存在NO、AlO、K+、S2-等离子

B.室温下0.1 mol/L的NaOH溶液与pH = 1的某酸HA等体积混合后,溶液中C(Na+)≥C(A-)

C.1 mol/L的醋酸溶液加水稀释时,溶液中所有离子浓度均减小

D.t℃时,水的离子积常数为Kw,则[c(OH-)]2=Kw的水溶液一定呈中性

试题详情

9.已知2Fe3++2I-=2Fe2++I2,当把Cl2通入FeI2溶液中时,下列离子方程式一定不正确的是

                                                                (   )

A.Cl2+2I-=I2+2Cl-

B.4Cl2+6I-+2Fe2+=2Fe3++3I2+8Cl-

C.3Cl2+2Fe2++4I-=2Fe3++2I2+6Cl-

D.2Cl2+2Fe2++2I-=2Fe3++I2+4Cl-

试题详情

8.固体NH4I放入一个体积为 L的真空密闭容器中,加热至一定温度后,恒温下发生下列反应:NH4I(s)NH3(g)+HI(g);2HI(g)H2(g)+I2(g)。平衡时,测得容器中气体共为5 mol,其中HI为1.5mol,则下列说法正确的是              (   )

A.平衡时氨气为2.5 mol

B.平衡时HI的分解率为20%

C.若开始时放入固体NH4I的量增大一倍,则平衡时气体共为10 mol

D.其它条件不变把容器的体积缩小到L,重新达到平衡时H2的浓度是原平衡的2倍

试题详情

7.2008年9月三鹿奶粉事件调查结果显示,三鹿牌婴儿配方奶粉是被一种名为三聚氰胺的化合物所污染。三聚氰胺简称三胺,也被人们称为“蛋白精”,其结构简式如下,下列说法不正确的是                                                        (   )

A.三聚氰胺显弱碱性,能与盐酸反应

B.1mol三聚氰胺可以与3mol氢气发生加成反应

C.三聚氰胺所有原子一定共面

D.三聚氰胺的分子式为C6N6H6

试题详情

21.(12分)下列两题分别对应于“物质结构与性质”和“实验化学”两个选修课程模块的内容,请你选择其中一题作答,如果两题全做,则按A题评分。

A.已知A、B、C、D、E都是元素周期表中前四周期的元素,它们的核电荷数A<B<C<D<E。B原子的p轨道半充满,形成的氢化物的沸点是同主族元素的氢化物中最低的。D原子得到一个电子后3p轨道全充满。A+比D原子形成的离子少一个电子层。C与A形成A2C型离子化合物。E的原子序数为26,E原子或离子外围有较多能量相近的空轨道而能与一些分子或离子形成配合物。请根据以上情况,回答下列问题:(答题时,A、B、C、D、E用所对应的元素符号表示)

(1)A、B、C、D的第一电离能由小到大的顺序为____________________________。

(2)C的氢化物分子是____________(填“极性”或“非极性”)分子。

(3)化合物BD3的分子空间构型是________________。

(4)E元素原子的核外电子排布式是___________________________;E的一种常见配合物E(CO)5常温下呈液态,熔点为-20.5℃,沸点为103℃,易溶于非极性溶剂。据此可判断E(CO)5的晶体类型为_____________________;E(CO)5中的配体CO与N2、CN等互为等电子体,写出CO分子的结构式_______________。

(5)金属E单质的晶体在不同温度下有两种堆积方式,晶胞分别如下图所示。体心立方晶胞和面心立方晶胞中实际含有的E原子个数之比为_________________。

B.乙醛在催化剂存在的条件下,可以被空气氧化成乙酸。依据此原理设计实验制得并在试管C中收集到少量乙酸溶液(如图所示:试管A中装有40%的乙醛水溶液、氧化铜粉末;试管C中装有适量蒸馏水;烧杯B中装有某液体)。已知在60℃-80℃时用双连打气球鼓入空气即可发生乙醛的氧化反应,连续鼓入十几次反应基本完全。有关物质的沸点见下表:

物质
乙醛
乙酸
甘油
乙二醇

沸点
20.8℃
117.9℃
290℃
197.2℃
100℃

请回答下列问题:

(1)试管A内在60℃-80℃时发生的主要反应的化学方程式为(注明反应条件)____________________________________;

(2)如下图所示在实验的不同阶段,需要调整温度计在试管A内的位置。在实验开始时温度计水银球的位置应在_____________,目的是_________________________;当试管A内的主要反应完成后,应进行蒸馏操作,温度计水银球的位置应在___________________。

(3)烧杯B内盛装的液体可以是____________(写出一种即可)。

(4)若想检验试管C中是否含有产物乙酸,在下列所提供的药品或用品中,可以使用的是____________。(填字母)

a.pH试纸                    b.碳酸氢钠粉末

c.红色石蕊试纸                                d.银氨溶液

试题详情

20.(10分)一化学研究性学习小组对某工厂利用FeCl3溶液与铜反应制印刷电路板所得废液进行探究。

(1)甲同学取10mL废液,向其中加入足量的AgNO3溶液,得到的沉淀经过滤、洗涤、干燥、称重为8.61g,乙同学另取10mL废液,加入某试剂,将pH调至4.0,产生沉淀,沉淀经过滤、洗涤、灼烧,冷却后称重得0.32g。

已知有关金属离子从开始沉淀到沉淀完全时溶液的pH为:

Fe3+:2.7-3.7   Cu2+:5.2-6.4   Fe2+:7.6-9.6

试求:

(1)上述废液中c(Fe3+)、 c(Cu2+)、 c(Fe2+)

(2)两同学为了从废液中回收铜,取上述1L废液加入铁粉,充分反应。请画出加入铁粉的物质的量与废液中铜离子的物质的量的关系曲线,并利用该曲线计算,当铜离子的物质的量减少一半时,加入铁粉的质量为多少克?

试题详情

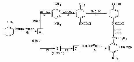
19.(12分)苯佐卡因是一种局部麻醉剂,可用于粘膜溃疡、创面等的镇痛,一般制成软膏或栓剂使用,它的工业合成有如下所示的两种途径。途径I已逐渐淘汰,现在使用较多的是途径II。

已知:①当苯环上连有甲基时,再引入的其他基团主要进入它的邻位或对位;当苯环上连有羧基时,再引入的其他基团主要进入它的间位。

②苯胺()分子中的氨基易被氧化。

请回答下列问题:

(1)反应①的反应类型为______________,化合物B的结构简式为______________。

(2)反应⑦的化学方程式为__________________________________________________。

(3)下列关于上述合成路线的说法正确的是__________________。

a.反应①除了主要生成A物质外,还可能生成

b.途径II中的步骤①和⑤可以互换

c.反应③的另一产物是H2O

d.与途径II相比,途经I的缺点是步骤多,产率低

e.途经I中的步骤③的目的是保护氨基不被步骤④中的酸性高锰酸钾溶液氧化

(4)途经II中的步骤⑤和⑥能否互换,说明理由:_________________________________。

(5)苯佐卡因有多种同分异构体。其中有两个对位取代基,-NH2直接连在苯环上,分子结构中含有酯基的同分异构体有:

__________________、_____        

试题详情

18.(10分)甲醛亦称“蚁醛”。含甲醛37~40%、甲醇8%的水溶液俗称“福尔马林”。甲醛是重要的有机合成原料,大量用于生产树脂、合成纤维、药物、涂料等。甲醛是世界卫生组织(WHO)确认的致癌物和致畸物质之一。我国规定:室内甲醛含量不得超过0.08mg·m3

(1)下列说法或做法不合理的是_______________。(填字母)

a.用甲醛溶液浸泡水产品以长时间保持水产品的“新鲜”

b.刚装修的新房入住前房间内保持一定温度并注意通风

c.对人体健康有危害的吊白块的合成反应NaHSO3+HCHO→NaO-CH2-SO3H

的反应类型是加成反应

d.福尔马林可用于制作动物标本(或保存尸体)

(2)某研究性学习小组拟用甲醛法测定常见铵态氮肥的含氮量

[资料:4NH4++6HCHO=(CH2)6N4H++3H++6H2O,所生成的H+和(CH2)6N4H+可用NaOH标准溶液滴定,采用酚酞作指示剂]。用甲醛法测定含氮量,不适合的铵盐是____________。(填字母)

a.NH4HCO3    b.(NH4)2SO4    c.NH4Cl

(3)甲醇脱氢是制甲醛最简单的工业方法:

反应I:CH3OH(g)→HCHO(g)+H2(g);ΔH1=92.09kJ·mol-1,其平衡常数K1=3.92×10-11甲醇氧化是制甲醛的另一种工业方法,即甲醇蒸气和一定量的空气通过Ag催化剂层,甲醇即被氧化得到甲醛:

反应II:CH3OH(g)+O2(g)→HCHO(g)+H2O(g);

ΔH2=-149.73kJ·mol-1,其平衡常数K2=4.35×1029(上述数据均为298.15 K下测定。)

①绿色化学提倡化工生产应提高原子利用率。原子利用率表示目标产物的质量与生成物总质量之比。反应_____(填“I”或“II”)制甲醛原子利用率更高。从反应的焓变和平衡常数K值看,反应_____(填 “I”或“II”)制甲醛更加有利。

②反应Ⅱ自发进行的条件是____________    。

a.高温                    b.低温           c.任何条件都自发

③下图是甲醇制甲醛有关反应的lgK(平衡常数的对数值)随温度T的变化。图中曲线(1)表示的是反应_______(填“I”或“II”)。

试题详情

17.(10分)已探明我国锰矿储量占世界第三位,但富矿仅占6.4%,每年尚需进口大量锰矿石。有人设计了把我国的贫菱锰矿(MnCO3含量较低)转化为高品位“菱锰矿砂”(MnCO3含量高)的绿色工艺。该工艺流程如下图所示:

已知焙烧反应①的化学方程式:(NH4)2SO4+MnCO3MnSO4+2NH3↑+CO2↑+H2O。

(1)写出反应②的离子方程式_______________________________________。

(2)上述工艺流程中,可以循环利用的物质有(NH4)2SO4、____________、__________。从物料平衡角度看,理论上生产过程中_________(填“需要”或者“不需要”)添加(NH4)2SO4

(3)向物质的量浓度均为0.01mol·L1的MnSO4和BaCl2混合溶液中,滴加Na2CO3溶液,先沉淀的是________(填离子符号);当两种沉淀共存时,溶液中=__________。[Ksp(BaCO3)=8.1×109,Ksp(MnCO3)=1.8×1011]

试题详情


同步练习册答案