0  293710  293718  293724  293728  293734  293736  293740  293746  293748  293754  293760  293764  293766  293770  293776  293778  293784  293788  293790  293794  293796  293800  293802  293804  293805  293806  293808  293809  293810  293812  293814  293818  293820  293824  293826  293830  293836  293838  293844  293848  293850  293854  293860  293866  293868  293874  293878  293880  293886  293890  293896  293904  447090 

19、甲乙两图分别表示两个等量正电荷和

两个等量异号电荷的电场,O为两电

荷连线的中点,P、Q是连线上关于O

对称的两点,M、N为连线中垂线上

关于O对称的两点,若带电量为-q的

粒子在电场中仅受电场力作用,则(  )

     A.该粒子在两种电场中都可能沿直线运动经过M、N

B.该粒子在两种电场中都可能沿直线运动经过P、Q

C.该粒子在图甲所示电场中,在P点的电势能大于M点的电势能

D.该粒子在图乙所示电场中,在M点时电势能小于P点的电势能

试题详情

18、下列关于热学的判断,其中正确的是(  )

     A.对一定质量的气体加热,其内能一定增加

B.物体温度升高时,物体内的每个分子的速率都将增大

C.一定质量的理想气体,当它的压强、体积都增大时,其内能一定增加

D.满足能量守恒定律的宏观过程都可以自发地进行

试题详情

17、质量为2kg的质点在x-y平面上作曲线运动,在x方向的速

度图像和y方向的位移图像如图4-7所示,下列说法正确的是(  )

图4-7

     A.质点的初速度为5m/s           B.质点所受的合外力为3N

C.质点初速度的方向与合外力方向垂直    D.2s末质点速度大小为6m/s

试题详情

16、在如图所示的电路中,电源电动势为E、内电阻为

r,C为电容器,R0为定值电阻,R为滑动变阻器。开关闭合

后,灯泡L能正常发光。当滑动变阻器的滑片向右移动时,

下列判断正确的是(  )

     A.灯泡L将变暗        B.灯泡L将变亮

C.电容器C的电荷量将减小   D.电容器C的电荷量将增大

试题详情

15、如图为一列在均匀介质中沿x轴正方向传播的简谐横波在某时刻的波形图,波速为2m/s,

则(  )

     A.质点P此时刻的振动方向沿y轴负方向     B.P点振幅比Q点振幅小

C.经过△t=4s,质点P将向右移动8m      D.经过△t=4s,质点Q通过的路程是0.4m

试题详情

14、如图2-5所示,质量为m的等边三棱柱静止在水平放置的

斜面上。已知三棱柱与斜面之间的动摩擦因数为,斜面的

倾角为30°,则斜面对三棱柱的支持力

与摩擦力的大小分别为(  )

     A.          B.   

C.          D.

试题详情

13、 在一固定体积的密闭容器中,充入2molA和1molB,发生如下反应:2A(g)+B(g)xC(g) ,

平衡后,C的体积分数为W%。若维持容器容积和温度不变,0.6molA、0.3molB和1.4molC

为起始物质,达到平衡后,C的体积分数也为W% 。

平衡后若缩小容器体积,C的浓度c(C)、C的体积分数C%、混合气体平均相对分子质 量(M)和正反应速率[V(正)],随压强(P)的变化,一定符合的是

A          B          C         D

试题详情

12、在大型演唱晚会上,观众经常使用荧光棒来增添喜庆气氛。荧光棒内草酸二苯酯和过氧

化氢反应导致发光的原理大致如下:①草酸二苯酯+H2O2-→C2O4+2C6H5OH;②生成的中间产物把能量传递给染料:C2O4+染料-→染料(电子激发态)+2CO2,电子激发态的染料不稳定,借发光而回到基态。下列说法不正确的是

A. 草酸二苯酯的分子式是C14H10O4     B. 上述变化证明化学能可以转化为光能

C.  C2O4的结构简式是      D. 反应①属于酯水解反应

试题详情

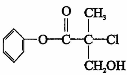
11、某有机物A 是农药生产中的一种中间体,其结构简式如下。下列叙述中正确的一项是

A.有机物A 最多20个原子共平面 B.有机物A 可以和Br2的CCl4溶液发生加成反应

C.有机物A 和浓硫酸混合加热,可以发生消去反应

D.1 mo1A 和足量的NaOH 溶液反应,最多可以消耗2mol NaOH

试题详情

9、下列实验方案可行的是(    )

A.为除去苯中的少量苯酚,向混合物中加入适量的溴水后过滤

B.证明                中一定有碳碳不饱和键:滴入KMnO4酸性溶液,看紫红

色是否褪去

C.检验溶液中一定有:加入稀盐酸,将产生的气体通入澄清石灰水

D.用溴水鉴别苯、乙醇、四氯化碳.

C.pH=2的HA溶液与pH=12的MOH溶液任意比混合:c(H+) + c(M+)=c(OH) + c(A)

D.0.1 mol·L-1的NaHA溶液,其pH=4:c(HA)>c(H+)>c(H2A)>c(A2-)

试题详情


同步练习册答案