题目列表(包括答案和解析)

 0  96336  96344  96350  96354  96360  96362  96366  96372  96374  96380  96386  96390  96392  96396  96402  96404  96410  96414  96416  96420  96422  96426  96428  96430  96431  96432  96434  96435  96436  96438  96440  96444  96446  96450  96452  96456  96462  96464  96470  96474  96476  96480  96486  96492  96494  96500  96504  96506  96512  96516  96522  96530  447348 

3.对方程(x-2)(x-5)=1的根判断错误的是(  )

A.两个根均在(2,5)内

B.有一个根在(-∞,2)内

C.有一个根在(2,+∞)内

D.在[2,5]上没有实数根

试题详情

2.方程lg x=x-1的解的个数是(  )

A.1个         B.2个         C.3个         D.4个

试题详情

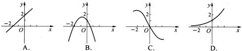
1.若方程f(x)-2=0在(-∞,0)内有解,则f(x)的图象是(  )

试题详情

19.某公司生产的水笔上年度销售价为0.8元,年销量为1亿支.本年度计划将销售价调至0.55-0.75元之间,经论证,若销售价调至x元,则本年度新增销售量y(亿支)与(x-0.4)成反比例,且当x=0.65时,y=0.8.

(1)求yx的函数关系式;

(2)若每支水笔的成本价为0.3元,则水笔销售价调至多少时,本年度该公司的:收益比上年度增加20%?

答案:(1)设y=,由x=0.65,y=0.8,得k=0.2,∴y=

(2)(1+)·(x-0.3)=1·(0.8-0.3) ·(1+20%),解之x=0.6,x=0.5(舍)

试题详情

18.虾塘中虾群的最大养殖量为m,为了给虾群有足够的生长空间,要留出适当的空闲量,因而实际养殖量x要低于m.已知虾群的年增长量y和实际养殖量与空闲率的乘积成正比,比例系数为k(k>0).

(1)写出yx的函数关系式,并求出函数的定义域;

(2)求虾群年增长量的最大值.

答案:(1)y=kx(0<x<m)

(2)y=,即ymax=

试题详情

17.证明方程(x-2)(x-3)=1有两个相异的实数解,并且一个根小于2,一个根大于3.

答案:方程可化为f(x)=x2-5x+5=0,判断式△=(-5)2-4×5=5>0,∴方程f(x)=0有两个不相等的实数根,又∵f(2)-f(3)=-1<0,∴方程的一个根小于2,一个根大于3

试题详情

16.某民营企业的员工的月薪由基本工资、本企业工龄工资、在岗级别补贴三大块组成,其中基本工资为800元;本企业工龄工资是,在本企业工作每满一年,工资增加60元,300元封顶;在岗级别补贴标准为:每在岗满三年工资增加20元,不封顶.设某人在这个企业工作时间为x年(x可以为小数,且0≤x<25),他的月薪金为f(x)元,则f(x)与x函数关系式为:

描出函数图象,并指出某人的月薪为1 220元时,他在这个企业工作的时间.

答案:(1)如图所示

(2)1 140+20[]=1 220,∴4≤<518≤x<21

试题详情

演算步骤)

15.取整函数[x]的定义是:[x]表示不大于x的最大整数,如[-3.14]=-4,[3]=3,[2.71]=2.完成下列表格,并描出函数f(x)=[x](0≤x≤8)的图象.

x
-3.4
-0.8
1.23
2.67
3.98
4.12
5.01
6.80
7.01
8
f(x)
 
 
 
 
 
 
 
 
 
 

答案:完成表格如下:

x
-3.4
-0.8
1.23
2.67
3.98
4.12
5.01
6.80
7.01
8
f(x)
-4
-1
1
2
3
4
5
6
7
8

图形如下图:

试题详情

14.如果我国的GDP年平均增长率继续保持7.8%,约z年后我国的GDP在现有的基础上翻两番,那么等量关系式为____________________.

答案:1.078x=4

试题详情

13.若不等式的指数式为0.5b>10,则不等式的对数式为b__________.

答案:b<-log210

试题详情


同步练习册答案