题目列表(包括答案和解析)

 0  96337  96345  96351  96355  96361  96363  96367  96373  96375  96381  96387  96391  96393  96397  96403  96405  96411  96415  96417  96421  96423  96427  96429  96431  96432  96433  96435  96436  96437  96439  96441  96445  96447  96451  96453  96457  96463  96465  96471  96475  96477  96481  96487  96493  96495  96501  96505  96507  96513  96517  96523  96531  447348 

13.里氏震级M是刻画地震能量大小的尺度,其定义式为M=lgA-lgA0,其中A为被测地震的最大震幅,A0是标准地震的最大震幅,A0=0.001.当M=7时,地震的最大震幅A=__________.

答案:104

试题详情

12.在第9题的图D中,设扇形的半径为r=,则函数表达为____________________.

答案:

试题详情

11.已知函数f(x)的图象如右图,其可能的解析式为____________________.

答案:y=2x-2-1

试题详情

10.上题4个选项中函数表达式为(0≤x≤l)的是(  )

A.正三角形

B.正方形

C.圆

D.扇形

答案:1.C  2.B  3.A  4.D  5.A  6.D  7.C  8.A  9.D  10.C

试题详情

9.点P从点O出发,按逆时针方向沿周长为l的图形运动一周,设OP的距离y与点P所走的路程x的函数关系如图,则点P走的图形是(  )

试题详情

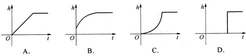
8.圆柱形的水杯,向杯中匀速注水时,杯中水面高度忍随时间t变化的图象是(  )

试题详情

7.方程10-|x|=0.86实数解的个数为(  )

A.0           B.1           C.2           D.3

试题详情

6.当0<a<1时,方程logax=ax解的个数为(  )

A.1           B.2           C.3           D.1或3

试题详情

5.函数f(x)=x+-在(0,+∞)上连续,对函数零点的描述正确的是(  )

A.在(0,0.5)内有一个零点

B.在(0.5,1)内有一个零点

C.在(1,1.5)内有一个零点

D.在(1.5,2)内有一个零点

试题详情

4.在一定范围内弹簧的长度lcm与重物的质量mkg有如下关系式:l=6+0.4m.当m=5 kg时,弹簧伸长的长度是(  )

A.8 cm        B.6 cm        C.4 cm        D.2 cm

试题详情


同步练习册答案