题目列表(包括答案和解析)

 0  96347  96355  96361  96365  96371  96373  96377  96383  96385  96391  96397  96401  96403  96407  96413  96415  96421  96425  96427  96431  96433  96437  96439  96441  96442  96443  96445  96446  96447  96449  96451  96455  96457  96461  96463  96467  96473  96475  96481  96485  96487  96491  96497  96503  96505  96511  96515  96517  96523  96527  96533  96541  447348 

4、在等比数列中,已知,则该数列前5项的积为(  )

A.      B.3       C.1       D.

试题详情

3、已知是等比数列,且,那么 的值是(  )

A.5       B.6       C.7       D.25

试题详情

2、已知是公比为2的等比数列,则等于(  )

A.1       B.       C.       D.

试题详情

1、成等比数列的(  )

A.充分条件            B.必要条件

C.充要条件            D.既不充分也不必要条件

试题详情

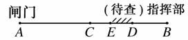
9.(10分)在一个风雨交加的夜里,从某水库闸房到防洪指挥部的电话线路发生了故障,这是一条10 km长的线路,如何迅速查出故障所在?

如果沿着线路一小段一小段查找,困难很多,每查一个点要爬一次电线杆子,10 km长,大约有200多根电线杆子呢!想一想,维修线路的工人师傅怎样工作最合理?

[解析] 如图

他首先从点C查,用随身带的话机向两端测试时,发现AC段正常,断定故障在BC段,再查BC段中点D,这次发现BD段正常,可见故障在CD段,再查CD中点E.

这样每查一次,就可以把待查的线路长度缩减一半,故经过7次查找,即可将故障发生的范围缩小到50 m-100 m之间,即一两根电线杆附近.

试题详情

8.求方程ln x+x-3=0在(2,3)内的根(精确到0.1).

[解析] 令f(x)=ln x+x-3,即求函数f(x)在(2,3)内的零点.

用二分法逐步计算.列表如下:

区间
中点
中点函数值
[2,3]
2.5
0.416 3
[2,2.5]
2.25
0.060 9
[2,2.25]
2.125
-0.121 2
[2.125,2.25]
2.187 5
-0.029 7
[2.187 5,2.25]
 
 

由于区间[2.187 5,2.25]的长度2.25-2.187 5=0.062 5<0.1,所以其两个端点的近似值2.2就是方程的根.

试题详情

7.求方程2x3+3x-3=0的一个近似解(精确度0.1).

[解析] 设f(x)=2x3+3x-3,经试算,f(0)=-3<0,f(1)=2>0,所以函数在(0,1)内存在零点,即方程2x3+3x-3=0在(0,1)内有实数解,取(0,1)的中点0.5,经计算f(0.5)<0,又f(1)>0,所以方程2x3+3x-3=0在(0.5,1)内有解.

如此继续下去,得到方程的一个实数解所在的区间,如下表:

(a,b)
(a,b)的中点
f(a)
f(b)
f
(0,1)
0.5
f(0)<0
f(1)>0
f(0.5)<0
(0.5,1)
0.75
f(0.5)<0
f(1)>0
f(0.75)>0
(0.5,0.75)
0.625
f(0.5)<0
f(0.75)>0
f(0.625)<0
(0.625,0.75)
0.687 5
f(0.625)<0
f(0.75)>0
f(0.687 5)<0

因为|0.687 5-0.75|=0.062 5<0.1,所以方程2x3+3x-3=0的精确度为0.1的一个近似解可取为0.75.

试题详情

6.用二分法求方程x3-2x-5=0在区间[2,3]内的实数根时,取区间中间x0=2.5,那么下一个有根区间是________.

[解析] ∵f(2)<0,f(2.5)>0,

∴下一个有根区间是(2,2.5).

[答案] (2,2.5)

试题详情

5.用二分法求函数y=f(x)在区间(2,4)上的近似解,验证f(2)·f(4)<0,给定精确度ε=0.01,取区间(2,4)的中点x1==3,计算得f(2)·f(x1)<0,则此时零点x0∈________(填区间).

[解析] 由f(2)·f(3)<0可知.

[答案] (2,3)

试题详情

4.函数f(x)=ex-的零点所在的区间是( )

A.  B.

C.  D.

[解析] f()=-2<0,

f(1)=e-1>0,

∵f()·f(1)<0,

∴f(x)的零点在区间内,故选B.

[答案] B

试题详情


同步练习册答案