题目列表(包括答案和解析)

 0  93683  93691  93697  93701  93707  93709  93713  93719  93721  93727  93733  93737  93739  93743  93749  93751  93757  93761  93763  93767  93769  93773  93775  93777  93778  93779  93781  93782  93783  93785  93787  93791  93793  93797  93799  93803  93809  93811  93817  93821  93823  93827  93833  93839  93841  93847  93851  93853  93859  93863  93869  93877  447348 

6.设则           (   )

  A.               B.  

  C.           D.

试题详情

5.化简的结果是( )

A.      B.      C.         D.

试题详情

4.设的值是(     )

A.          B.        C.         D.

试题详情

3.y=的单调递减区间为( )

A.(-∞,-3)  B.(-1,+∞)  C.[1,+∞  D.[-3,-1]

试题详情

2.若,则必有(  )

A.    B.    C.    D.

试题详情

1.sin600°+tan240°的值等于                       (   )

   A.     B.      C.    D.

试题详情

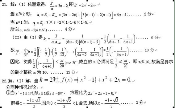
22.(本小题满分14分)已知

(Ⅰ)若k = 2,求方程的解;

(Ⅱ)若关于x的方程在(0,2)上有两个解x1x2,求k的取值范围,并证明

试题详情

21.(本小题满分12分)设数列的前项和为,点均在函数的图像上.

(Ⅰ)求数列的通项公式;

(Ⅱ)设是数列的前项和,求使得对所有都成立的最小正整数.

试题详情

20.(本小题满分12分)如图,在四棱锥中,底面ABCD是正方形,

侧棱PD=DC,EPC的中点.

(1)证明:∥平面

(2)求EB与底面ABCD所成角的正切值.

试题详情

19.(本小题满分12分)已知,直线和圆

  (1)求直线斜率的取值范围;

  (2)直线能否将圆分割成弧长的比值为的两段圆弧?为什么?

试题详情


同步练习册答案