题目列表(包括答案和解析)

 0  93688  93696  93702  93706  93712  93714  93718  93724  93726  93732  93738  93742  93744  93748  93754  93756  93762  93766  93768  93772  93774  93778  93780  93782  93783  93784  93786  93787  93788  93790  93792  93796  93798  93802  93804  93808  93814  93816  93822  93826  93828  93832  93838  93844  93846  93852  93856  93858  93864  93868  93874  93882  447348 

9、在△ABC中,角A、B、C所对的边分别是abc,并且a=7,b=14,A=30°,则△ABC有                    (   )

A、一解    B、二解   C、无解    D、一解或二解

试题详情

8、已知数列的首项,且,则为   (   )

    A.7          B.15        C.30         D.31

试题详情

7、不在表示的平面区域内的点是           (   )

A.         B.         C.    D.

试题详情

6、若abc为实数,则下列命题正确的是           (   )

A.若ab,则ac2bc2 B.若ab<0,则a2abb2

 C.若ab<0,则<  D.若ab<0,则>

试题详情

5、设等差数列的前n项之和为,已知,则(   )

A、12   B、20    C、40   D、100

试题详情

4、在等比数列则公比为          (   )

A、2    B、3    C、4   D、8

试题详情

3、已知,则函数的最小值为        (   )

A、1    B、2    C、3    D、4

试题详情

2、                     (   )

A、   B、   C、  D、

试题详情

1、不等式的解集为               (   )

A、 B、 C、 D、

试题详情

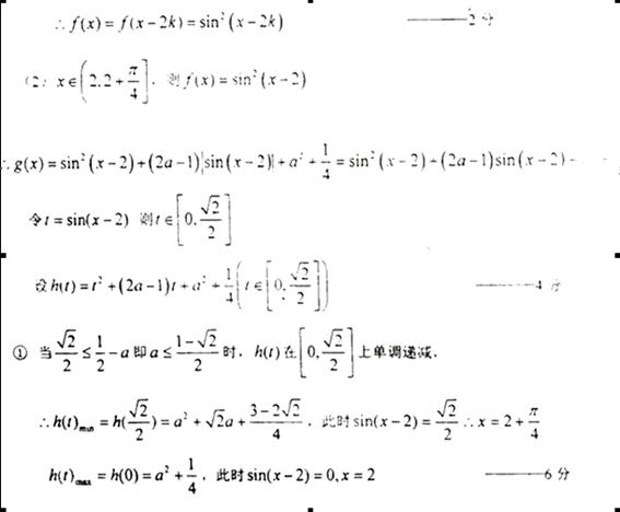
22.(本小题满分14分)已知是定义在R上以2为周期的函数,对,用表示区间。已知当时,

(1)求上的解析表达式;

(2)当时,令

的最大值与最小值(用表示)并写出对应的值。

试题详情


同步练习册答案