题目列表(包括答案和解析)

 0  93685  93693  93699  93703  93709  93711  93715  93721  93723  93729  93735  93739  93741  93745  93751  93753  93759  93763  93765  93769  93771  93775  93777  93779  93780  93781  93783  93784  93785  93787  93789  93793  93795  93799  93801  93805  93811  93813  93819  93823  93825  93829  93835  93841  93843  93849  93853  93855  93861  93865  93871  93879  447348 

1.若集合,则=(  )

  A.R          B.           C.         D.

试题详情

21.解:(I)依题意得,.

......10分

  方法一:

 

试题详情

19.解:(Ⅰ)直线的方程可化为

直线的斜率,               ........2分

因为

试题详情

18.解:为奇函数    

为偶函数 

       ........4分

从而       ........8分

           ........12分

试题详情

22.(本小题满分14分)已知

(Ⅰ)若k = 2,求方程的解;

(Ⅱ)若关于x的方程在(0,2)上有两个解x1x2,求k的取值范围,并证明

试题详情

21.(本小题满分12分)设数列的前项和为,点均在函数的图像上.

(Ⅰ)求数列的通项公式;

(Ⅱ)设是数列的前项和,求使得对所有都成立的最小正整数.

试题详情

20.(本小题满分12分)如图,在四棱锥中,底面ABCD是正方形,

侧棱PD=DC,EPC的中点.

(1)证明:∥平面

(2)求EB与底面ABCD所成角的正切值.

试题详情

19.(本小题满分12分)已知,直线和圆

  (1)求直线斜率的取值范围;

  (2)直线能否将圆分割成弧长的比值为的两段圆弧?为什么?

试题详情

18.(本小题满分12分)设是奇函数,是偶函数,并且,求

试题详情

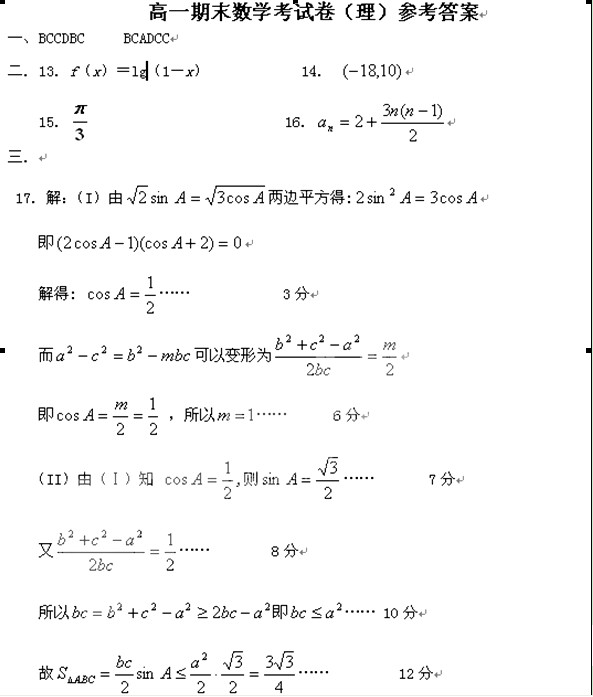
17.(本小题满分12分)在中,分别是的对边长,已知.

  (I)若,求实数的值;

  (II)若,求面积的最大值.

试题详情


同步练习册答案