题目列表(包括答案和解析)

 0  93768  93776  93782  93786  93792  93794  93798  93804  93806  93812  93818  93822  93824  93828  93834  93836  93842  93846  93848  93852  93854  93858  93860  93862  93863  93864  93866  93867  93868  93870  93872  93876  93878  93882  93884  93888  93894  93896  93902  93906  93908  93912  93918  93924  93926  93932  93936  93938  93944  93948  93954  93962  447348 

3.一般地,函数y=ax(a>0,a≠1,x∈R);R;(0,+∞);a>1时是增函数,

0<a<1时是减函数;函数图像在x轴上方且都通过点(0,1).

试题详情

2.⑴ ⑵ ⑶

试题详情

1.⑴(n>1且n∈N+)⑵=

                     |a| ,  当n为偶数时

试题详情

11.设0≤x≤2,求函数y=的最大值和最小值.

[答案]

试题详情

10.化简:

试题详情

9.已知集合M={x|x∈R},则函数y=2x的值域是__________.

试题详情

8.函数y=的定义域是(-∞,0],则a的取值范围是__________.

试题详情

7.=__________.

试题详情

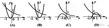
6.在下列图象中,二次函数与指数函数的图象只可能是(    )

试题详情

5.下列函数中,值域是(0,+∞)的共有(     )

 ① y=  ② y=()x  ③ y=   ④ y=3

A.1个         B.2个       C.3个           D.4个

试题详情


同步练习册答案