题目列表(包括答案和解析)

 0  96803  96811  96817  96821  96827  96829  96833  96839  96841  96847  96853  96857  96859  96863  96869  96871  96877  96881  96883  96887  96889  96893  96895  96897  96898  96899  96901  96902  96903  96905  96907  96911  96913  96917  96919  96923  96929  96931  96937  96941  96943  96947  96953  96959  96961  96967  96971  96973  96979  96983  96989  96997  447348 

15(1)求值

(2)已知, 计算: 

16..假设关于某种设备的使用年限和支出的维修费用(万元),有以下的统计资料:

使用年限
2
3
4
5
6
维修费用
2.2
3.8
5.5
6.5
7.0

若由资料知,呈线性相关关系。

试求(1)线性回归方程的确回归系数

   (2)估计使用年限为10年时,维修费用是多少?

参考公式:回归直线方程:y=bx+a,

试题详情

14.关于x的一元二次方程,若a是从区间[0,3]任取的一个数,b是从区间[0,2]任取的一个数,方程有实根的概率为    

试题详情

13.已知,则的值为        

试题详情

12.某城市缺水问题比较突出,为了制定节水管理办法,对全市居民某年的月均用水量进行了抽样调查,其中4位居民的月均用水量分别为(单位:吨)。根据图所示的程序框图,若分

别为1,1.5,1.5,2,则输出的结果     .

试题详情

11.将一枚硬币连续抛掷3次,正面恰好出现两次的概率为_   _.

试题详情

10.为了得到这个函数的图象,只要将的图象上所有的点

A.向左平移个单位长度,再把所得各点的横坐标缩短到原来的倍,纵坐标不变

B. 向左平移个单位长度,再把所得各点的横坐标伸长到原来的2倍,纵坐标不变

C. 向左平移个单位长度,再把所得各点的横坐标缩短到原来的倍,纵坐标不变

D. 向左平移个单位长度,再把所得各点的横坐标伸长到原来的2倍,纵坐标不变

试题详情

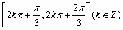
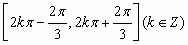
9.记,那么

A.    B.   C.    D.

试题详情

8.函数的定义域是

A.     B.

C.     D.  

试题详情

7.在区间上随机取一个数,使的值介于到1之间的概率为

A.      B.      C.      D.

试题详情

6.下列函数中最小正周期为且为偶函数的是

A.   B.   C.      D.

试题详情


同步练习册答案