0  158594  158602  158608  158612  158618  158620  158624  158630  158632  158638  158644  158648  158650  158654  158660  158662  158668  158672  158674  158678  158680  158684  158686  158688  158689  158690  158692  158693  158694  158696  158698  158702  158704  158708  158710  158714  158720  158722  158728  158732  158734  158738  158744  158750  158752  158758  158762  158764  158770  158774  158780  158788  447090 

8.抽气机每次抽出容器内空气的60%,要使容器内剩下的空气少于原来的0.1%,则至少要抽(参考数据:)                        (   )

    A.15次          B.14次          C.9次           D.8次

试题详情

7.函数的图象如图所示,则函数的图象大致是        (   )

试题详情

6.已知等差数列,且它们的前n项和Sn有最大值,则使得的n的最大值是                           (   )

    A.11            B.19            C.20            D.21

试题详情

5.已知直线,直线,给出下列命题:

                 ②

                 ④

其中正确的命题是                                              (   )

    A.①②③        B.②③④         C.②④          D.①③

试题详情

4.如下图,在一个长为,宽为2的矩形OABC内,曲线与x轴围成如图所示的阴影部分,向矩形OABC内随机投一点(该点落在矩形OABC内任何一点是等可能的),则所投的点落在阴影部分的概率是      (   )

    A.            B.            C.            D.

试题详情

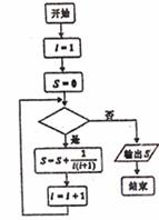
3.一个算法的程序框如图所示,若该程序输出的结果为,则判断框中应填入的条件是   (   )

    A.                         B.

    C.                         D.

试题详情

2.已知为纯虚数,则a的值为                     (   )

    A.          B.            C.          D.

试题详情

1.设集合等于          (   )

    A.                            B.{(1,4)}    

    C.                        D.

试题详情

22.(本小题满分14分)

   已知函数

  (I)求函数的极值;

  (II)对于曲线上的不同两点,如果存在曲线上的点Q(),且,使得曲线在点Q处的切线,则称为弦P1P2的伴随切线。

     当a=2时,已知两点试求弦AB的伴随切线的方程;

  (III)设上至少存在一个成立,求实数a的取值范围。

试题详情

21.(本小题满分12分)

已知点P在椭圆上,F1,F2分别为椭圆C的左、右焦点,满足|PF1|=6-|PF2|,且椭圆C的离心率为

  (I)求椭圆C的方程;

  (II)若过点Q(1,0)且不与x轴垂直的直线与椭圆C相交于两个不同点M、N,在x轴上是否存在定点G,使得为定值,若存在,求出所有满足这种条件的点G的坐标;若不存在,说明理由。

试题详情


同步练习册答案