题目列表(包括答案和解析)

 0  50122  50130  50136  50140  50146  50148  50152  50158  50160  50166  50172  50176  50178  50182  50188  50190  50196  50200  50202  50206  50208  50212  50214  50216  50217  50218  50220  50221  50222  50224  50226  50230  50232  50236  50238  50242  50248  50250  50256  50260  50262  50266  50272  50278  50280  50286  50290  50292  50298  50302  50308  50316  447348 

9.设直线:2x+y+2=0关于原点对称的直线为,若与椭圆x2+有两交点为A、B,点P为椭圆上的动点,则使△PAB的面积为的点P的个数为(  )

A.1    B.2    C.3     D.4

试题详情

8.已知函数f(x)=1+logax(a>0,a≠1),满足f(9)=3,则f-1(log92)的值是(  )

  A.-1+log3  B.   C.      D.

试题详情

7.在△ABC中,有命题:①

③若()·()=0,则△ABC为等腰三角形;

④若则△ABC为锐角三角形.上述命题正确的是(   )

A.①②  B.①②③  C. ②③   D.②③④

试题详情

6.在正数数列{}中,a1=2,且点()在直线x-上,前n项和等于(  )

 A. -1     B.2n+1-2     C.      D.   

试题详情

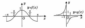
5.函数f(x)、函数g(x)的图像如图:

          

则函数y=f(x)·g(x)的图像可能是: (  )

   

试题详情

4.设A、B是两个非空集合,定义A与B差集为A-B={x|x∈A,且xB},则A-(A-B)等于(   )

  A.A    B.B    C.AB    D.AB

试题详情

3.过A(1,1)可作两条直线与圆相切,则k的范围为(   )

A.>0     B.>4或0<<1    C.>4或<1   D.<0

试题详情

2.函数f(X)=的图像相邻两条对称轴之间的距离是(  )

 A.      B.5π     C.       D.

试题详情

1.设集全A=,则集合A∩B=   (  )

A.     B.    C.    D.B

试题详情

21. (本小题满分16分)已知等差数列的首项为a,公差为b;等比数列的首项为b,公比为a,其中a,且.(1)求a的值;(2)若对于任意,总存在,使,求b的值;(3)在(2)中,记是所有中满足的项从小到大依次组成的数列,又记的前n项和,的前n项和,求证:

试题详情


同步练习册答案