题目列表(包括答案和解析)

 0  56751  56759  56765  56769  56775  56777  56781  56787  56789  56795  56801  56805  56807  56811  56817  56819  56825  56829  56831  56835  56837  56841  56843  56845  56846  56847  56849  56850  56851  56853  56855  56859  56861  56865  56867  56871  56877  56879  56885  56889  56891  56895  56901  56907  56909  56915  56919  56921  56927  56931  56937  56945  447348 

11.ABCD为长方形,AB=2,BC=1,点O为AB的中点,在长方形ABCD内随机取一点,取到的点到点O的距离大于1的概率为            .

试题详情

10.已知为椭圆上一点,为右焦点,若且点满足(其中为坐标原点),则的值为(   )

A.1       B.2        C.4        D.8

第Ⅱ卷  非选择题(共100分)

试题详情

9.在下列三个命题中

(1命题“存在”的否定是:“任意”;

(2)命题, 命题为真;

(3)若= -1则函数只有一个零点。

其中错误的个数是(  ) 

  A.3    B.2      C.1     D.0

试题详情

8. 根据表格中的数据,可以判定函数有一个零点所在的区间为,则的值为(   )


1
2
3
4
5

0
0.69
1.10
1.39
1.61

 A.2            B.3            C.4               D.5

试题详情

7、如下图,某几何体的主视图与左视图都是边长为1的正方形,且体积为。则该几何体的俯视图可以是                            (  )

试题详情

6. “”是“直线与直线垂直”的         (  )

   A.充分不必要条件          B.必要不充分条件        

   C.充要条件              D.既不充分也不必要条件

试题详情

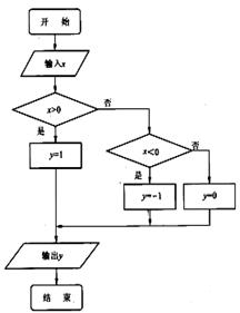
5. 右图的程序框图,输出的结果是(   )

   A. y=     B. y= 

   C. y=     D. y=

试题详情

4. 甲、乙两名运动员的5次测试成绩如下图所示

分别表示甲、乙两名运动员测试成绩的标准差,分别表示甲、乙两名运动员测试成绩的平均数,则有                         (   )

A.    B.

C.  D.

试题详情

3. 若若,则               (   )

   A.-     B.      C.-     D.

试题详情

2、复数的虚部为                      (   )

A.       B.      C.      D.

试题详情


同步练习册答案