题目列表(包括答案和解析)

 0  56794  56802  56808  56812  56818  56820  56824  56830  56832  56838  56844  56848  56850  56854  56860  56862  56868  56872  56874  56878  56880  56884  56886  56888  56889  56890  56892  56893  56894  56896  56898  56902  56904  56908  56910  56914  56920  56922  56928  56932  56934  56938  56944  56950  56952  56958  56962  56964  56970  56974  56980  56988  447348 

24.(本小题10分)选修4-5:不等式选讲

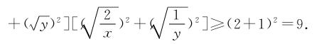
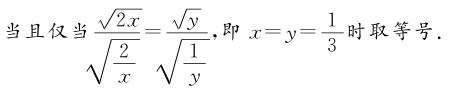
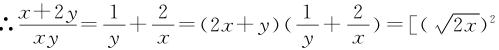
已知2x+y=1,x>0,y>0,求的最小值.

解析:∵2x+y=1,x>0,y>0,

试题详情

23.(本小题10分)选修4-4:坐标系与参数方程

求直线l:(t为参数)被圆C:(α为参数)截得弦长.

解析:将直线l的方程(t为参数)化为普通方程为:x+y=2,

将圆C的方程(α为参数)化为普通方程为:x2+y2=9,

则圆心到直线l的距离d==,

∴所求弦长为2=2=2.

试题详情

22.(本小题10分)选修4-1:几何证明选讲

如图,△ABC内接于⊙OABAC,直线MN切⊙O于点CBEMNAC于点E.若AB=6,BC=4,求AE的长.

解析:∵∠BCM=∠ABEMN,∴∠BCM=∠EBC,∠A=∠EBC.又∠ACB是公共角,∴ΔABCΔBEC,∴=.

ABAC=6,BC=4,∴EC===,

AEACEC=.

试题详情

21.(本小题14分)已知离心率为的椭圆C:+=1(ab>0)过点M(,1),O为坐标原点.

(1)求椭圆C的方程;

(2)已知直线l与椭圆C交于不同的两点AB,若直线l是圆Ox2+y2=的一条切线,试证明∠AOB=.它的逆命题成立吗?若成立,请给出证明;否则,请说明理由.

解析:(1)因为椭圆C:+=1(ab>0)过点M(,1),且离心率为,

所以,解得,

故椭圆C的方程为+=1.

(2)若直线l的斜率存在,则设直线l的方程为ykx+m,直线l与椭圆C交于不同的两点A(x1y1),B(x2y2),

由直线l与圆O相切得r=,即r2==.

联立方程组,得x2+2(kx+m)2=8,

即(1+2k2)x2+4kmx+2m2-8=0,

Δ=16k2m2-4(1+2k2)(2m2-8)=8(8k2m2+4)>0,即8k2m2+4>0.由方程根与系数的关系得:,

从而y1y2=(kx1+m)(kx2+m)=k2x1x2+km(x1+x2)+m2=-+m2=.要证∠AOB=,即,只需证x1x2+y1y2=0,即证+=0,即证3m2-8k2-8=0,而=,所以3m2-8k2-8=0成立.即∠AOB=.

而当直线l的斜率不存在时,直线lx=±,此时直线l与椭圆+=1的两个交点为(,±)或(-,±),满足.综上,有∠AOB=.

逆命题:已知直线l与椭圆C交于不同的两点AB,若∠AOB=,则直线l是圆Ox2+y2=的一条切线.结论成立.

证明:当直线l的斜率存在时,设直线lykx+m,直线l与椭圆C:+=1的两个交点为A(x1y1),B(x2y2),联立方程组,得x2+2(kx+m)2=8,即(1+2k2)x2+4kmx+2m2-8=0,

Δ=16k2m2-4(1+2k2)(2m2-8)=8(8k2m2+4)>0,即8k2m2+4>0,由方程根与系数的关系得:

y1y2=(kx1+m)(kx2+m)=k2x1x2+km(x1+x2)+m2=-+m2=.由∠AOB=知,⊥,即x1x2+y1y2=0,即+=0,所以3m2-8k2-8=0.因为圆心到直线l的距离d=,则d2===,而r2=,此时直线ykx+m与圆O相切.

当直线l的斜率不存在时,由可以计算得到直线l与椭圆+=1的两个交点为(,±)或

(-,±),此时直线lx=±.满足圆心到直线的距离等于半径,即直线与圆相切.

综上,其逆命题成立.

试题详情

20.(本小题14分)(2009·太原模拟)设等比数列{an}的前n项和为Sn,首项a1=1,公比qf(λ)=(λ≠-1,0).

(1)证明:Sn=(1+λ)-λan

(2)若数列{bn}满足b1=,bnf(bn1)(n≥2,n∈N*),求数列{bn}的通项公式;

(3)在(2)的条件下,若λ=1,记Cnan(-1),数列{Cn}的前n项和为Tn,求证:当n≥2时,2≤Tn<4.

解析:(1)由题意得Sn===(1+λ)(1-qn)=(1+λ)-(1+λ)=(1+λ)-λ·=(1+λ)-λan.

Sn=(1+λ)-λan.

(2)∵f(λ)=,∴bn=⇒=+1,

∴{}是首项为=2,公差为1的等差数列,

∴=2+(n-1)=n+1,∴bn=.

(3)λ=1时,an=()n1

Cnan(-1)=()n1n

Tn=1+2×()+3×()2+…+n×()n1,①

Tn=+2×()2+3×()3+…+n×()n,②

①-②得:Tn=1+()+()2+()3+…+()n1n()n=2[1-()n]-n()n

Tn=4[1-()n]-2n()n=4-()n2n()n1<4,设f(n)=Tn,则易知函数f(n)单调递增,故当n≥2时,TnT2=2.故当n≥2时,2≤Tn<4.

试题详情

19.(本小题12分)如图,在四棱锥PABCD中,底面ABCD为菱形,PA⊥平面ABCD,∠ABC=60°,EF分别是BCPC的中点.

(1)证明:AEPD

(2)若HPD上的动点,EH与平面PAD所成最大角的正切值为,求二面角EAFC的余弦值.

解析:(1)由四边形ABCD为菱形,∠ABC=60°,可得△ABC为正三角形.

因为EBC的中点,所以AEBC.

BCAD,所以AEAD.

因为PA⊥平面ABCDAE⊂平面ABCD

所以PAAE.

PA⊂平面PADAD⊂面PADPAADA,所以AE⊥平面PAD.又PD⊂面PAD,所以AEPD.

(2)设AB=2,HPD上任意一点,连接AH,如图.

由(1)知AE⊥平面PAD,则∠EHAEH与平面PAD所成的角.

在Rt△EAH中,AE=,所以当AH最短时,∠EHA最大,即当AHPD时,∠EHA最大.此时tan∠EHA===,因此AH=.又AD=2,所以∠ADH=45°,所以PA=2.

解法一 因为PA⊥平面ABCDPA⊂平面PAC,所以平面PAC⊥平面ABCD.

EEOACO,则EO⊥平面PAC,过OOSAFS,连接ES,则∠ESO为二面角EAFC的平面角,在Rt△AOE中,EOAE·sin30°=,AOAE·cos30°=,又FPC的中点,则AFPC,∠FAO=45°.则在Rt△ASO中,SOAO·sin45°=,又SE== =,在Rt△ESO中,cos∠ESO===,即所求二面角的余弦值为.

解法二 因为AEADAP两两垂直,故以A为坐标原点,建立如图所示的空间直角坐标系,连接BD,因为EF分别为BCPC的中点,所以A(0,0,0),B(,-1,0),C(,1,0),D(0,2,0),P(0,0,2),E(,0,0),F(,,1).

所以=(,0,0),=(,,1).

设平面AEF的一个法向量为m=(x1y1z1),则

因此,取z1=-1,则m=(0,2,-1).又可知BDACBDPAPAACA,所以BD⊥平面AFC,故为平面AFC的一个法向量.又=(-,3,0),

所以cos〈m〉===.

因为二面角EAFC为锐角,所以所求二面角的余统值为.

试题详情

18.(本小题12分)已知函数f(x)=a2x3ax2+,g(x)=-ax+1,其中a>0.

(1)若函数f(x)的图象与函数g(x)的图象有公共点,且在公共点处有相同的切线,试求实数a的值;

(2)在区间(0,]上至少存在一个实数x0,使f(x0)>g(x0)成立,试求实数a的取值范围.

解析:(1)设函数f(x)的图象与函数g(x)的图象的公共点为M(x0y0),则,

即.

由①得a(ax-2x0+1)=0,∵a>0,且x0≠0,

a=. ③

由②得a2xax+ax0-=0. ④

把③代入④,得()2·x-·xx0-=0,化简得x-2x0+1=0,解得x0=1.

x0=1时,a==1,

于是,所求实数a的值为1.

(2)设F(x)=f(x)-g(x)=a2x3ax2+ax-(x∈(0,]),

F(x)求导,得F′(x)=a2x2-2ax+aa2x2+a(1-2x)>0(a>0),∴F(x)在(0,]上为增函数,则F(x)maxF().

依题意,只需F(x)max>0,即a2×-a×+a×->0,

a2+6a-8>0,

解得a>-3+或a<-3-(舍去).

于是,所求实数a的取值范围是(-3+,+∞).

试题详情

17.(本小题12分)如图所示,质点P在正方形ABCD的四个顶点上按逆时针方向前进.现在投掷一个质地均匀、每个面上标有一个数字的正方体玩具,它的六个面上分别写有两个1、两个2、两个3一共六个数字.质点PA点出发,规则如下:当正方体上底面出现的数字是1,质点P前进一步(如由AB);当正方体上底面出现的数字是2,质点P前进两步(如由AC),当正方体上底面出现的数字是3,质点P前进三步(如由AD).在质点P转一圈之前连续投掷,若超过一圈,则投掷终止.

(1)求质点P恰好返回到A点的概率;

(2)在质点P转一圈恰能返回到A点的所有结果中,用随机变量ξ表示点P恰能返回到A点的投掷次数,求ξ的数学期望.

解析:(1)投掷一次正方体玩具,每个数字在上底面出现都是等可能的,其概率为P1==.

只投掷一次不可能返回到A点;若投掷两次质点P就恰好能返回到A点,则上底面出现的两个数字应依次为:(1,3)、(3,1)、(2,2)三种结果,其概率为P2=()2×3=;

若投掷三次质点P恰能返回到A点,则上底面出现的三个数字应依次为:(1,1,2)、(1,2,1)、(2,1,1)三种结果,其概率为P3=()3×3=;

若投掷四次质点P恰能返回到A点,则上底面出现的四个数字应依次为:(1,1,1,1).其概率为P4=()4=.

所以,质点P恰好返回到A点的概率为:PP2+P3+P4=++=.

(2)由(1)知,质点P转一圈恰能返回到A点的所有结果共有以上问题中的7种情况,且ξ的可能取值为2,3,4,

P(ξ=2)=,P(ξ=3)=,P(ξ=4)=,

所以,=2×+3×+4×=.

试题详情

16.椭圆与双曲线有许多优美的对偶性质,如对于椭圆有如下命题:AB是椭圆+=1(ab>0)的不平行于对称轴且不过原点的弦,MAB的中点,则kOM·kAB=-.那么对于双曲线则有如下命题:AB是双曲线-=1(a>0,b>0)的不平行于对称轴且不过原点的弦,MAB的中点,则kOM·kAB=__________.

解析:设A(x1y1),B(x2y2),M(x0y0),则有.

∵-=1,-=1.

两式相减得=,

即=,

即=,即kOM·kAB=.

答案:

试题详情

15.若f(x)=|2x-1|-|x+1|,则满足f(x)<2的x的取值范围为__________.

解析:①当x<-1时,不等式f(x)<2可转化为-(2x-1)-[-(x+1)]<2,得x>0,此时无解;

②当-1≤x≤时,不等式f(x)<2可转化为-(2x-1)-(x+1)<2,得x>-,此时,不等式的解集为:-<x≤;

③当x>时,不等式f(x)<2可转化为2x-1-(x+1)<2,得x<4,此时,不等式的解集为:<x<4.

由①、②、③得满足f(x)<2的x的取值范围为{x|-<x<4}.

答案:{x|-<x<4}

试题详情


同步练习册答案