0  159005  159013  159019  159023  159029  159031  159035  159041  159043  159049  159055  159059  159061  159065  159071  159073  159079  159083  159085  159089  159091  159095  159097  159099  159100  159101  159103  159104  159105  159107  159109  159113  159115  159119  159121  159125  159131  159133  159139  159143  159145  159149  159155  159161  159163  159169  159173  159175  159181  159185  159191  159199  447090 

12.已知抛物线与双曲线有相同的焦点,点 是两曲线的交点,且,则双曲线的离心率为                       (   )

    A.        B.        C.        D.

             第Ⅱ卷(非选择题  共90分)

  要字体工整,笔迹清晰.严格在题号所指示的答题区域内作答.超出答题区域书写

  的答案无效.在草稿纸、试题卷上答题无效.

试题详情

11.张老师给学生出了一道题,“试写一个程序框图,计算”发现同学们有如下几种做法,其中有一个是错误的,这个错误的做法是          (   )

试题详情

9.对于函数①,②,③,判断如下两个命题的真假:命题甲:是偶函数;命题乙:上是减函数,在(2,+)上是增函数;能使命题甲、乙均为真命题的所有函数的序号是              (   )

     A.①②          B.②            C.①③          D.③

20090430
 
10.用一些棱长是1 cm的小正方体码放成一个几何体,图1为其俯视图,图2为其主视图(或正视图),若这个几何体的体积为 ,则其左视图为                             (   )

试题详情

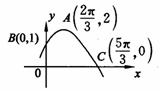
8.已知函数的部分图象如图所示,则的解析式可能为              (   )

A.             B.

   C.             D.

试题详情

7.在等比数列{}中,若=32,则的值为                 (   )

    A.4            B.2            C.-2            D.-4

试题详情

6.已知,且且关于的方程有两相等实根,则向量的夹角是             (   )

    A.          B.         C.           D.

试题详情

5.已知,则的值等于                            (   )

     A.         B.          C.         D.

试题详情

4.设m,函数的图象如图所示,则有                  (   )

    A.                B.

    C.                D.

试题详情

3.若<<0,则下列不等式:①;②;③;④中正确的是             (   )

  A.①②           B.②③          C.①④          D.③④

试题详情

2.如图是某电视台综艺节目举办的挑战主持人大赛上,七位评委为某选手打出的分数的茎叶统计图,去掉一个最高分和一个最低分后, 所剩数据的平均数和方差分别为  (   )

    A.84,4.84                      B.84,1.6

    C.85,4                        D.85,1.6

试题详情


同步练习册答案