0  159256  159264  159270  159274  159280  159282  159286  159292  159294  159300  159306  159310  159312  159316  159322  159324  159330  159334  159336  159340  159342  159346  159348  159350  159351  159352  159354  159355  159356  159358  159360  159364  159366  159370  159372  159376  159382  159384  159390  159394  159396  159400  159406  159412  159414  159420  159424  159426  159432  159436  159442  159450  447090 

3.棱长为的正方体的外接球的表面积为                             (   )

A.108π           B.72π            C.36π            D.12π

试题详情

2.设等差数列相等的是           (   )

A.S12                          B.S11                          C.S8                           D.S7

试题详情

1.若A为全体正实数的集合,B={-2,-1,1,2}则下列结论正确的是        (   )

A.                     B.

C.                     D.

试题详情

(17)(本题满分12分)

已知向量,其中>0,且,又的图像两相邻对称轴间距为.

(Ⅰ)求的值;

(Ⅱ)求函数在[-]上的单调减区间.

(18)(本题满分12分)

某辆载有位乘客的公共汽车在到达终点前还有个停靠点(包括终点站).若车上每位乘客在所剩的每一个停靠点下车的概率均为,用表示这位乘客中在终点站下车的人数,求:

(I)随机变量的分布列;

(II)随机变量的数学期望。

(19)(本小题满分12分)

如图所示,在四棱锥P-ABCD中,底面ABCD是边长为2的正方形,平面PBC⊥底面ABCD,且PB=PC=.

(Ⅰ)求证:AB⊥CP;

(Ⅱ)求点到平面的距离;

(Ⅲ)设面与面的交线为,求二面角的大小.

(20)(本小题满分12分)

设函数

(I)若直线l与函数的图象都相切,且与函数的图象相切于点(1,0),求实数p的值;

(II)若在其定义域内为单调函数,求实数p的取值范围;

(21)(本题满分12分)

已知方向向量为的直线过点和椭圆的右焦点,且椭圆的离心率为

(I)求椭圆的方程;

(II)若已知点,点是椭圆上不重合的两点,且,求实数的取值范围.

(22)(本题满分14分)

已知曲线上一点作一斜率为的直线交曲线于另一点,点列的横坐标构成数列,其中

(I)求的关系式;

(II)令,求证:数列是等比数列;

(III)若(λ为非零整数,n∈N*),试确定λ的值,使得对任意n∈N*,都有cn+1>cn成立。

试题详情

(13)已知正数满足,则的最小值为         

(14)由曲线y和直线x=0,x=1,以及y=0所围成的图形面积是         

(15)点P(x,y)满足,点A的坐标是(1,2),若∠AOP=,则︱OP︱cos的最小值是      

(16)给出下列四个结论:

①命题“的否定是“”;

②“若”的逆命题为真;

③函数(x)有3个零点;

④对于任意实数x,有且x>0时,则x<0时

其中正确结论的序号是     .(填上所有正确结论的序号)

试题详情

(1)“|x|<2”是“”的

A.充分而不必要条件                   B.必要而不充分条件

C.充要条件                          D.既不充分也不必要条件

(2)等差数列中,,则的值为

A.15             B.23            C.25             D.37

(3)已知是实数,是纯虚数,则=

A.1            B.-1            C.           D.-

(4)△ABC中,,则△ABC的面积等于

    A.            B.            C.       D.

(5)已知,则的图象

A.与的图象相同

B.与的图象关于轴对称

C.向左平移个单位,得到的图象

D.向右平移个单位,得到的图象

(6)设函数则导函数的展开式项的系数为

A.1440         B.-1440        C.-2880        D.2880

(7)在样本的频率分布直方图中,共有11个小长方形,若中间一个小长方形的面积等于其它10个小长方形的面积和的,且样本容量为160,则中间一组的频数为

A.32        B.0.2               C.40        D.0.25

(8)已知直线交于A、B两点,且,其中O为原点,则实数的值为

A.2         B.-2             C.2或-2      D.

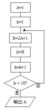
(9)执行如图的程序框,输出的A为

A.2047       B.2049          C.1023           D.1025

(10)设是两个不同的平面,为两条不同的直线,命题p:若平面,则;命题q:,则,则下列命题为真命题的是

A.p或q           B.p且q         C.┐p或q     D.p且┐q

(11)已知点,动圆与直线切于点,过与圆相切的两直线相交于点,则点的轨迹方程为

A.                 B.

C.                 D.

(12)设函数表示不超过的最大整数,则函数的值域为

A.           B.        C.        D.

第Ⅱ卷(非选择题  共90分)

试题详情

(17)(本小题满分12分)

某高级中学共有学生2000人,各年级男、女生人数如下表:

 
高一
高二
高三
女生
373
x
y
男生
377
370
z

已知在全校学生中随机抽取1名,抽到高二年级女生的概率是0.19.

(Ⅰ)现用分层抽样的方法在全校抽取48名学生,问应在高三年级抽取多少人?

(Ⅱ)已知求高三年级女生比男生多的概率.

(18)(本小题满分12分)

已知分别为的三边所对的角,向量,且.

(Ⅰ)求角的大小;

(Ⅱ)若成等差数列,且,求边的长.

(19)(本小题满分12分)

如图,三棱锥中,两两互相垂直,且,分别为的中点.

(Ⅰ)求证:平面

(Ⅱ)求证:平面平面

(Ⅲ)求三棱锥的体积.

(20)(本小题满分12分)

已知等差数列的前项和为,公差成等比数列.

(Ⅰ)求数列的通项公式;

(Ⅱ)若从数列中依次取出第2项、第4项、第8项,……,,……,按原来顺序组成一个新数列,记该数列的前项和为,求的表达式.

(21)(本小题满分12分)

已知定义在上的函数在区间上的最大值是5,最小值是-11.

(Ⅰ)求函数的解析式;

(Ⅱ)若时,恒成立,求实数的取值范围.

(22)(本小题满分14分)

已知直线所经过的定点恰好是椭圆的一个焦点,且椭圆上的点到点的最大距离为8.

(Ⅰ)求椭圆的标准方程;

(Ⅱ)已知圆,直线.试证明:当点在椭圆上运动时,直线与圆恒相交,并求直线被圆所截得弦长的取值范围.

试题详情

1,3,5
 
(13)若平面向量的夹角为180°,且,则的坐标为      .

(14)在等差数列中,若,则数列的前11项和=    .

(15)对一个作直线运动的质点的运动过程观测了8次, 第次观测得到的数据为,具体如下表所示:


1
2
3
4
5
6
7
8

40
41
43
43
44
46
47
48

在对上述统计数据的分析中,一部分计算见如图所示的算法流程图(其中是这8个数据的平均数),则输出的的值是_     .

(16)如果直线ykx+1与圆交于MN两点,且MN关于直线x+y=0对称,若为平面区域内任意一点,则的取值范围是       .

试题详情

(1)集合A={-1,0,1},B={},则AB=   

     A.{0}              B.{1}        C.{0,1}      D.{-1,0,1}

(2)已知,且为实数,则等于

A.1            B.       C.       D.

(3)使不等式成立的必要不充分条件是

    A.                       B.

    C.                       D.,或

(4)下图是一个几何体的三视图,根据图中数据,可得该几何体的表面积为

A.32         B.16            C.12          D.8

(5)偶函数在区间[0,]()上是单调函数,且,则方程 在区间[-]内根的个数是

   A.3         B. 2              C. 1           D.0

(6)在等比数列的值为

    A. 9         B. 1              C.2            D.3

(7)在区域内任取一点,则点落在单位圆内的概率为

   A.         B.         C.          D.

(8)以双曲线的中心为顶点,右焦点为焦点的抛物线方程是

    A.    B.      C.     D.

(9)已知点在曲线上,且曲线在点处的切线与直线垂直,则点的坐标为

A.(1,1)                      B.(-1,0)

C.(-1,0)或(1,0)              D.(1,0)或(1,1)

(10)已知函数的大致图象如下图,其中为常数,则函数的大致图象是

(11)定义运算:,将函数的图象向左平移()个单位,所得图象对应的函数为偶函数,则的最小值为

A.       B.        C.        D.

(12)下列结论

①命题“”的否定是“”;

②当时,函数的图象都在直线的上方;

③定义在上的奇函数,满足,则的值为0.

④若函数在定义域内是增函数,则实数的取值范围为.

其中,正确结论的个数是

A.1           B. 2           C. 3            D.4

第Ⅱ卷(非选择题  共90分)

试题详情

(17)(本小题满分12分)

△ABC中,a,b,c分别是角A,B,C的对边,向量m=(2sinB,2-cos2B),

,m⊥n,

(Ⅰ)求角B的大小;

   (Ⅱ)若,b=1,求c的值.

(18)(本小题满分12分)

正方体ABCD-的棱长为l,点F、H分别为为、A1C的中点.

(Ⅰ)证明:∥平面AFC;.

   (Ⅱ)证明B1H平面AFC.

(19)(本小题满分12分)

   定义在上的奇函数,已知当时的解析式

(1)写出上的解析式;

(2)求上的最大值。

(20)(本小题满分12分)

从某学校高三年级共800名男生中随机抽取50名测量身高,据测量被测学生身高全部介于155cm和195cm之间,将测量结果按如下方式分成八组:第一组、第二组;…第八组,下图是按上述分组方法得到的频率分布直方图的一部分,已知第一组与第八组人数相同,第六组、第七组、第八组人数依此构成等差数列。

(1)估计这所学校高三年级全体男生身高180cm以上(含180cm)的人数;

(2)求第六组、第七组的频率并补充完整频率分布直方图;

(3)若从身高属于第六组和第八组的所有男生中随机抽取两名男生,记他们的身高分别为,求满足:的事件概率。

(21)(本小题满分12分)

   已知双曲线的左、右两个焦点为, ,动点P满足|P|+| P |=4.

   (1)求动点P的轨迹E的方程;

   (2)设,过且不垂直于坐标轴的动直线l交轨迹E于A、B两点,若DA、DB为邻边的平行四边形为菱形,求直线的方程

(22)(本小题满分14分)

   设函数表示f(x)导函数。

   (Ⅰ)求函数一份(x))的单调递增区间;

   (Ⅱ)当k为偶数时,数列{}满足.证明:数列{}中不存在成等差数列的三项;

(Ⅲ)当k为奇数时, 设,数列的前项和为,证明不等式

对一切正整数均成立,并比较的大小。

试题详情


同步练习册答案