题目列表(包括答案和解析)

 0  52916  52924  52930  52934  52940  52942  52946  52952  52954  52960  52966  52970  52972  52976  52982  52984  52990  52994  52996  53000  53002  53006  53008  53010  53011  53012  53014  53015  53016  53018  53020  53024  53026  53030  53032  53036  53042  53044  53050  53054  53056  53060  53066  53072  53074  53080  53084  53086  53092  53096  53102  53110  447348 

9.已知xy满足约束条件则z=的最小值为

A.                  B. 

C.4                   D.-

试题详情

8.有下列命题:

①函数f(x)=sin x+(x∈(0,π))的最小值是2;

②在△ABC中,若sin 2A=sin 2B,则△ABC是等腰三角形或直角三角形;

③如果正实数abc满足a+bc,则+>;

④如果yf(x)是可导函数,则f′(x0)=0是函数yf(x)在xx0处取得极值的必要不充分条件.

其中正确的命题是

A.①②③④               B.①④ 

C.②③④               D.②③

试题详情

7.已知f(x)=1+log2x(1≤x≤4),则g(x)=f(x2)的最大值为

A.1                 B.3 

C.5                 D.9

试题详情

6.已知ab为空间两条异面直线,A是直线ab外一点,则经过A点与两条异面直线ab都相交的直线的可能情况为

A.至多有一条             B.至少有一条

C.有且仅有一条            D.有无数条

试题详情

5.设F为抛物线y2=4x的焦点,△ABC的三个顶点都在此抛物线上,且++=0,则||+||+||等于

A.9        B.6         C.4        D.3

试题详情

4.在等差数列{an}中,若a1+a4+a7=39,a3+a6+a9=27,则数列{an}的前9项之和S9等于

A.66       B.99        C.144       D.297

试题详情

3.已知(x-)8展开式中的常数项为1120,其中实数a是常数,则展开式中各项系数的和为

A.28        B.38        C.1或38     D.1或28

试题详情

2.z∈C,若|z|-=1-2i,则的值是

A.-2   B.-2i   C.2   D.2i

试题详情

1.若集合A={x|<0},B={x|x-2<2},则“mA”是“mB”的

A.充分不必要条件      B.必要不充分条件

C.充要条件              D.既不充分也不必要条件

试题详情

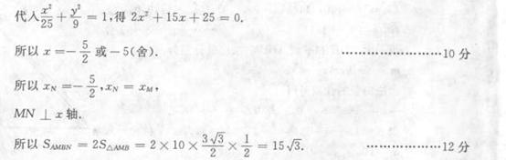
19.(本小题满分12分)

某出版社准备举行一次高中数学新教材研讨会,以征求对新教材的使用意见.邀请50名使用不同版本教材的一线教师参加,使用不同版本教材的教师人数如下表所示:

版本
人教A版
人教B版
苏教版
北师大版
人数
20
15
10
5

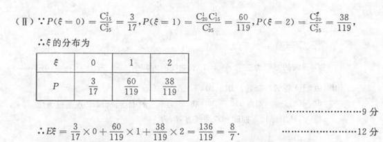
(I)    从这50名见识中随即选出2名见识发言,求两人所用教材版本相同概率;

(II)   若从使用人教版奇偶才的教师中选出2名发言,设使用任教A版的教师人数为 ,求随机变量的分布列的数学期望.

(20)  (本小题满分12分)

已知一四棱锥P-ABCD的三视图如下,E是则棱PC上的动点.

(I)       求四棱锥P-ABCD的体积;

(II)     不论点E在何位置,是否都又 ?证明你的结论;

(III)    若E点为PC的中点,求二面角D-AE-B的大小.

(21)  (本小题满分12分)

已知离心率为 的椭圆的中心在远点,焦点在  轴上.双曲线以椭圆的长轴为实轴,短轴为虚轴,且焦距为

(I)       求椭圆及双曲线的方程;

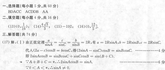
(II)     设椭圆的左、右定点分别为A、B,在第二象限内取双曲线上一点P,连接BP交椭圆于点M,连接PA并延长交椭圆于点N,若 求四边形ANBM的面积.

(22)  (本小题满分14分)

已知 函数

(I)       试问 在定义域上能否是单调函数?请说明理由;

(II)     若在区间 上是单调递增函数,试求实数 的取值范围;

(III)    当 时,设数列 的前 项和为  求证

本资料由《七彩教育网》 提供!

试题详情


同步练习册答案