题目列表(包括答案和解析)

 0  52827  52835  52841  52845  52851  52853  52857  52863  52865  52871  52877  52881  52883  52887  52893  52895  52901  52905  52907  52911  52913  52917  52919  52921  52922  52923  52925  52926  52927  52929  52931  52935  52937  52941  52943  52947  52953  52955  52961  52965  52967  52971  52977  52983  52985  52991  52995  52997  53003  53007  53013  53021  447348 

(1)    已知集合,则

.    .    .    .

(2)  在展开式中,含项的系数是

20.    -20.        -120.       120.

(3)  已知是不同的平面,是不同的直线,则下列命题不正确的是

.  

,则.     .

(4)  下列函数中,在区间上为增函数且以为周期的函数是

    .   .   .   .

 (5)   设双曲线的离心率为,且它的一条准线与抛物线

的准线重合,则此双曲线的方程为

.  .  . .

 (6)   函数的反函数是

    .       .

    .      .

 (7)   对于函数:①;②;③.有如下两

个命题:命题甲:是偶函数;

     命题乙:上是减函数,在上是增函数.

能使命题甲、乙均为真的所有函数的序号是

①②.      ①③.      ②.      ③.

 (8)   有七名同学站成一排找毕业纪念照,其中甲必须站在正中间,并且乙、丙两位同学

要站在一起,则不同的站法有

    240种.     192种.     96种.     48种.

 (9)   已知向量共线,则等于

    .      .       .     .

(10)       四面体的外接球球心在上,且,在外接球面上

两点间的球面距离是

.       .       .     .

(11)       已知椭圆与双曲线有相同的焦点,若的等比中项,的等差中项,则椭圆的离心率是

    .      .      .      .

(12)       设,函数的定义域为,值域为.定义“区间的长度等于”.若区间的长度的最小值为,则实数的值为

    .      .       .      .

第Ⅱ卷

试题详情

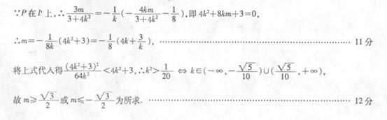
22. 已知椭圆过点),且离心率

(I)求椭圆的方程;

(Ⅱ)设若椭圆上存在横坐标不同的两点,使,且共线,求实数的取值范围。

本资料由《七彩教育网》 提供!

试题详情

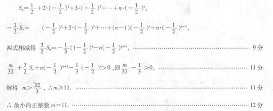
21.已知数列中,,记

(I)求,并证明数列是等比数列

(II)记,若对任意正整数,不等式

恒成立,求最小正整数

试题详情

20.设函数

(I)求函数的单调区间;

(II)若函数在区间内没有极值点,求实数的取值范围。

试题详情

19.美国次贷危机引发2008年全球金融动荡,波及中国两大股市.甲、乙、丙三人打算趁股市低迷之际投资股市,三人商定在圈定的10支股票中各自独立随即购买一支。

(I)求甲、乙两人买到的股票互不相同的概率;

(Ⅱ)求甲乙丙三人至少有两人买到同一支股票的概率。

试题详情

18. 如图,在矩形中,的中点,以为折痕将

上折起。使,且平面

(I)求证:

(Ⅱ)求直线与平面所成角的大小。

试题详情

17.已知函数的图像上两相邻最高点的坐标分别为

(I)求的值;

(Ⅱ)在中,分别是角的对边,且的值。

试题详情

16.已知的等比中项,则的取值范围为_________。

试题详情

15.若函数存在反函数,且函数的图像过点(3,11),则函数的图像一定过点____________。

试题详情

14.某班有学生52人,现用系统抽样的方法,抽取一个容量为4的样本,已知座位号分别为6,32,45的同学都在样本中,那么样本中另一位同学的座位号应该是     

试题详情


同步练习册答案