题目列表(包括答案和解析)

 0  53115  53123  53129  53133  53139  53141  53145  53151  53153  53159  53165  53169  53171  53175  53181  53183  53189  53193  53195  53199  53201  53205  53207  53209  53210  53211  53213  53214  53215  53217  53219  53223  53225  53229  53231  53235  53241  53243  53249  53253  53255  53259  53265  53271  53273  53279  53283  53285  53291  53295  53301  53309  447348 

7.已知在矩形中,,沿将矩形折成一个直角二面角,则四面体的外接球的体积为(   )

   A.    B.   C.   D

试题详情

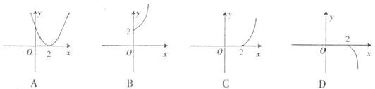
6.设函数,则其反函数的图象是(   )

     

试题详情

5.在等比数列中,为其前项和,已知,则此数列的公比为(   )

   A.2   B.3   C.4   D.5

试题详情

4.已知向量,若,则为(   )

   A.   B.   C.    D.

试题详情

3.已知非零实数,满足,则下列不等式恒成立的是(   )

   A.   B.   C.    D.

试题详情

2.已知全集,集合,则等于(   )

   A.  B.  C   D.

试题详情

1.抛物线的焦点的坐标是(   )

   A.  B.  C.    D.

试题详情

22.(本小题满分16分)

已知,直线与函数的图像都相切,且与函数的图像的切点的横坐标为1。

(Ⅰ)求直线的方程及的值;

(Ⅱ)若的导函数),求函数的最大值;

(Ⅲ)当时,比较:的大小,

试题详情

21.(本小题满分14分)

设抛物线的焦点为,经过点的直线交抛物线于

两点,是抛物线的准线上的一点,是坐标原点,若直线的斜率分别记为,(如图)

(1)若,求抛物线的方程

(2)当时,求的值

试题详情

20.(本小题满分14分)

两个人设计,甲,乙各射击一次中靶的概率分别是,且是关于的方程的两个根,若两人各射击5次,甲射击5次中靶的期望是2.5。

(1)求的值;

(2)两人各射击2次,中靶至少3次就算完成目的,则完成目的的概率是多少?

(3)两人各射击一次,中靶至少一次就算完成目的。则完成目的的概率是多少?

试题详情


同步练习册答案