0  163318  163326  163332  163336  163342  163344  163348  163354  163356  163362  163368  163372  163374  163378  163384  163386  163392  163396  163398  163402  163404  163408  163410  163412  163413  163414  163416  163417  163418  163420  163422  163426  163428  163432  163434  163438  163444  163446  163452  163456  163458  163462  163468  163474  163476  163482  163486  163488  163494  163498  163504  163512  447090 

13.等差数列{an}中,a1+3a8+a13=120,则2a9a10的值为________.

试题详情

12.已知an=()n,把数列{an}的各项排列成如下的三角形状,

a1

a2  a3  a4

a5  a6  a7  a8  a9

…………………………

A(m,n)表示第m行的第n个数,则A(10,12)=            (   )

   A.()93        B. ()92    C. ()94    D. ()112

第Ⅱ卷 (非选择题,共90分)

试题详情

10.已知数列的通项公式an ,则a1+a2+…+a100等于(   )

   A.0        B.100       C.-100      D.-102

100080
 
11.已知a>0且a≠1, f(x)=x2a,当x∈(-1,1)时,f(x)<恒成立,则实数a的取值范围是                (   )

   A. B.

C.           D.

试题详情

9.当0<x<时,函数f(x)=的最小值是         (   )

   A.1        B.2        C.4        D.8

试题详情

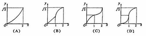
8.如图所示,在直角坐标系的第一象限内,△AOB是边长为2的等

边三角形,设直线x=t(0≤t≤2)截这个三角形可得位于此直线左

方的图形(阴影部分)的面积为f(t),则函数 y=f(t)的图象

(如下图所示)大致是               (   )

 

试题详情

7.已知cos(+x)=,则sin2x的值为                 (   )

     A.-      B.-      C.       D.

试题详情

6.已知O为坐标原点,=(-3,1),=(0,5),且,则点C的坐标为

A.(-3,-)  B.(3,)    C.(-3,)   D.(3,-)

试题详情

5.在200m高的山顶上,测得山下一塔顶与塔底的俯角分别是30°、60°,则塔高为  (   )

   A.m     B.m    C.m    D.m

试题详情

4.设函数f(x)是定义在R上的偶函数,且在(-∞,0 )上增函数,若|a|>|b|,则以下结论正确的是                        (   )

   A.f(a)-f(b)<0         B.f(a)-f(b)>0

   C.f(a)+f(b)>0         D.f(a)+f(b)<0

试题详情

3.已知a>0,b>0,ab的等差中项是,且αa+, βb+,则α+β的最小值是(   )

   A.3        B.4        C.5        D.6

试题详情


同步练习册答案