0  163340  163348  163354  163358  163364  163366  163370  163376  163378  163384  163390  163394  163396  163400  163406  163408  163414  163418  163420  163424  163426  163430  163432  163434  163435  163436  163438  163439  163440  163442  163444  163448  163450  163454  163456  163460  163466  163468  163474  163478  163480  163484  163490  163496  163498  163504  163508  163510  163516  163520  163526  163534  447090 

4.如果不等式组有解,则实数a的取值范围是           (   )

   A.(-∞,-1)∪(3,+∞)     B.(-∞,-3)∪(1,+∞)

   C.(-1,3)             D.(-3,1)

试题详情

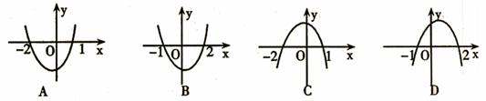
3.已知函数的解集为(-2,1)则函数的图象为           (   )

   

试题详情

2.已知向量的值为      (   )

   A.0        B.2        C.4        D.8

试题详情

1.设集合          (   )

   A.     B.[-2,0]    C.[0,2]     D.

试题详情

22.(14分)

已知向量处取得极值,在x=2处的切线平行向量.

  (1)求f(x)的解析式;

  (2)求f(x)的单调区间;

  (3)是否存在正整数m,使得方程内有且只有两个不等实根?若存在,求出m的值;若不存在,说明理由.

试题详情

21.(12分)已知数列{an}的前n项和Sn满足n+1=KSn+2,又a1=2,a2=1.

  (1)求k的值;

  (2)求Sn

  (3)已知存在正整数mn,使成立,试求出mn的值.

试题详情

20.某渔业公司年初年98万元购买一艘捕鱼船,第一年各种费用12万元,以后每年都增加4万元,每年捕鱼收益50万元。

  (1)问第几年开始获利?

  (2)若干年后,有两种处理方案:①年平均获利最大时,以26万元出售该渔船;②总纯收入获利最大时,以8万元出售该渔船.问哪种方案最合算?

试题详情

19.(12分)

已知三点A、B、C的坐标分别为A(3,0),B(0,3),,若的值.

试题详情

18.(12分)

已知成立的x的范围.

试题详情

17.(本题满分12分)

     在△ABC中,角A、B、C所对的边分别是a、b、c,若sin2B+sin2C=sin2A+sinBsinC,且,求△ABC的面积S.

试题详情


同步练习册答案