题目列表(包括答案和解析)

 0  53255  53263  53269  53273  53279  53281  53285  53291  53293  53299  53305  53309  53311  53315  53321  53323  53329  53333  53335  53339  53341  53345  53347  53349  53350  53351  53353  53354  53355  53357  53359  53363  53365  53369  53371  53375  53381  53383  53389  53393  53395  53399  53405  53411  53413  53419  53423  53425  53431  53435  53441  53449  447348 

13、已知的三个内角的对边,

向量.若,且,则角  

试题详情

12、已知m为非零实数。若函数的图像

关于原点对称,则m=________。

试题详情

11、为了解一片经济林的生长情况,随机测量了其中100

株树木的底部周长(单位:cm)。根据所得数据画出样本

的频率分布直方图(如右图),那么在这100株树木中,底

部周长小于110cm的株数是  

试题详情

10.如图,过抛物线y2=2px(p>0)的焦点F的直线L交抛物线于点A、B,交其准线于点C,

若|BC|=2|BF|,且|AF|=3,则此抛物线的方程为                (    )

   A.y2=x      B.y2=3x

   C.y2=x     D.y2=9x

试题详情

9. 直线过定点(1,1),则的最小值是    (    )

A.4           B.8          C.9          D.10

试题详情

8、已知m、n是不重合的直线,α、β是不重合的平面,有下列命题:

①若mα,n∥α,则m∥n;

②若m∥α,m∥β,则α∥β;

③若α∩β=n,m∥n,则m∥α且m∥β;

④若m⊥α,m⊥β,则α∥β.

其中真命题的个数是                                             (    )

    A.0           B.1          C.2          D.3

试题详情

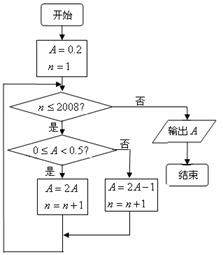
7、已知某程序框图如图所示,则该程序运行后

输出的结果为        (     )

A.        B.   

C.        D.

试题详情

6.下列命题错误的是                           (     )

(A)R,

(B)R,

(C)

(D)R+R,

试题详情

5.已知等差数列中,,则的值是                  (    )

    A.15            B.30            C.31            D.64

试题详情

4、已知复数z=1-i,则=                      (    )

A.2i     B.-2i          C.2       D.-2

试题详情


同步练习册答案