题目列表(包括答案和解析)

 0  54643  54651  54657  54661  54667  54669  54673  54679  54681  54687  54693  54697  54699  54703  54709  54711  54717  54721  54723  54727  54729  54733  54735  54737  54738  54739  54741  54742  54743  54745  54747  54751  54753  54757  54759  54763  54769  54771  54777  54781  54783  54787  54793  54799  54801  54807  54811  54813  54819  54823  54829  54837  447348 

3.已知,那么复数z在复平面内对应的点位于         (   )

    A.第一象限       B.第二象限       C.第三象限       D.第四象限

试题详情

2.设曲线在点P处的切线斜率为3,则点P的坐标为                 (   )

    A.(3,9)       B.(-3,9)      C.()       D.()

试题详情

1.若复数(a∈R,i为虚数单位)是纯虚数,则实数a的值为

                                                                (   ) 

A.-2          B.4             C.-6           D.6

试题详情

1.(广东卷理10)若向量=(1,1,x), =(1,2,1),  =(1,1,1)满足条件()·(2)=-2,则=     .

[解析],解得

试题详情

3.(上海春卷21)已知地球半径约为6371千米。上海的位置约为

东经121°、北纬31°,大连的位置约为东经121°、北纬39°,里斯

本的位置约为西经10°、北纬39°。

若飞机以平均速度720千米/小时,飞行,则从上海到大连的

最短飞行时间约为多少小时(飞机飞行高度忽略不计,结果精确到0.1小时)?

(2)求大连与里斯本之间的球面距离(结果精确到1千米)

试题详情

2.(上海卷文21)如图所示,为了制作一个圆柱形灯笼,先要制作4个全等的矩形骨架,总计耗用9.6米铁丝,再用平方米塑料片制成圆柱的侧面和下底面(不安装上底面).

(1)当圆柱底面半径取何值时,取得最大值?并求出该

最大值(结果精确到0.01平方米);

(2)若要制作一个如图放置的,底面半径为0.3米的灯笼,请作出用于灯笼的三视图(作图时,不需考虑骨架等因素).

试题详情

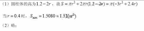
1.(上海卷理21)如图所示,为了制作一个圆柱形灯笼,先要制作4个全等的矩形骨架,总计耗用9.6米铁丝,骨架把圆柱底面8等份,再用S平方米塑料片制成圆柱的侧面和下底面(不安装上底面).

(1)当圆柱底面半径取何值时,取得最大值?并求出该最大值(结果精确到0.01平方米);

(2)在灯笼内,以矩形骨架的顶点为点,安装一些霓虹灯,当灯笼的底面半径为0.3米时,求图中两根直线所在异面直线所成角的大小(结果用反三角函数表示)

解析:

 

试题详情

8.(上海春卷13)  在右图所示的斜截圆柱中,已知圆柱底面的直径为40cm,母线长最短50cm,最长80cm,则斜截圆柱的侧面面积S=______cm2。

答案:

解析:将侧面展开可得

试题详情

7.(上海春卷10)各棱长为1的正四棱锥的体积V=____________。

答案:

解析:由题知斜高,则,故

试题详情

6.(上海卷文6).已知四棱椎的底面是边长为6 的正方形,侧棱底面,且,则该四棱椎的体积是       。

解析:考查棱锥体积公式

试题详情


同步练习册答案