题目列表(包括答案和解析)

 0  54666  54674  54680  54684  54690  54692  54696  54702  54704  54710  54716  54720  54722  54726  54732  54734  54740  54744  54746  54750  54752  54756  54758  54760  54761  54762  54764  54765  54766  54768  54770  54774  54776  54780  54782  54786  54792  54794  54800  54804  54806  54810  54816  54822  54824  54830  54834  54836  54842  54846  54852  54860  447348 

3.(湖南卷理19)为了考察冰川的融化状况,一支科考队在某冰川上相距8km的A,B两点各建一个考察基地.视冰川面为平面形,以过A,B两点的直线为x轴,线段AB的垂直平分线为y轴建立平面直角坐标系(图6).在直线的右侧,考察范围为到点B的距离不超过km的区域;在直线的左侧,考察范围为到A,B两点的距离之和不超过km的区域.

(Ⅰ)求考察区域边界曲线的方程;

(Ⅱ)如图6所示,设线段是冰川的部分边界线(不考虑其他边界),当冰川融化时,边界线沿与其垂直的方向朝考察区域平行移动,第一年移动0.2km,以后每年移动的距离为前一年的2倍,求冰川边界线移动到考察区域所需的最短时间.

[解析](Ⅰ)设边界曲线上点P的坐标为.当≥2时,由题意知

,因而其方程为

故考察区域边界曲线(如图)的方程为

(Ⅱ)设过点P1,P2的直线为l1,点P2,P3的直线为l2,则直线l1,l2的方程分别为

[命题意图]本题以应用题为背景,考查考察考生数学建模能力,考查圆的方程、椭圆的定义与方程、直线与圆锥曲线的位置关系、等比数列求和。本题属难题。

试题详情

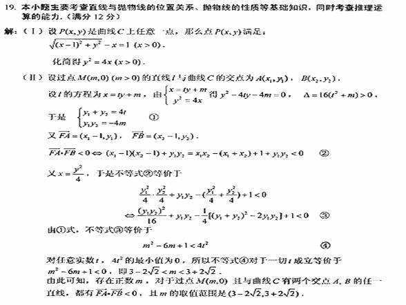
2.(湖北卷理19文20)已知一条曲线C在y轴右边,C上没一点到点F(1,0)的距离减去它到y轴距离的差是1.

(Ⅰ)求曲线C的方程;

(Ⅱ)是否存在正数m,对于过点M(m,0)且与曲线C有连个交点A,B的任一直线,都有﹤0 ? 若存在,求出m的取值范围;若不存在,请说明理由.

试题详情

1.(北京卷理19)在平面直角坐标系xOy中,点B与点A(-1,1)关于原点O对称,P是动点,且直线AP与BP的斜率之积等于.

(Ⅰ)求动点P的轨迹方程;

(Ⅱ)设直线AP和BP分别与直线x=3交于点M,N,问:是否存在点P使得△PAB与△PMN的面积相等?若存在,求出点P的坐标;若不存在,说明理由。

解:(1)因点B与(-1,1)关于原点对称,得B点坐标为(1,-1)。

   设P点坐标为,则,由题意得

   化简得:

   即P点轨迹为:

   (2)因,可得

   又

   若,则有,  即

   设P点坐标为,则有:

   解得:,又因,解得

   故存在点P使得的面积相等,此时P点坐标为

试题详情

1.(上海卷理3文8)动点到点的距离与它到直线的距离相等,则的轨迹方程为    。

答案:y2=8x   。

命题立意:考查抛物线定义及标准方程

解析:定义知的轨迹是以为焦点的抛物线,p=2所以其方程为y2=8x

试题详情

3.(浙江卷文22)已知m是非零实数,抛物线(p>0)的焦点F在直线上。

(I)若m=2,求抛物线C的方程

(II)设直线与抛物线C交于A、B,△A,△的重

心分别为G,H,求证:对任意非零实数m,抛物线C的准线与x轴

的焦点在以线段GH为直径的圆外

解析:本题主要考查抛物线几何性质,直线与抛物线、点与圆的位置关系等基础知识,同时考查解析几何的基本思想方法和运算求解能力。

(Ⅰ)解:因为焦点F(,0)在直线l上,得

又m=2,故所以抛物线C的方程为

设A(x1,y1) ,  B(x2,y2)

消去x得y2-2m3y-m4=0,

由于m≠0,故=4m6+4m4>0,

且有y1+y2=2m3,y1y2=-m4,

设M1,M2分别为线段AA1,BB1的中点,

由于2

可知G(),H(),

所以 

   所以GH的中点M.

设R是以线段GH为直径的圆的半径,

设抛物线的标准线与x轴交点N

=m4(m4+8 m2+4)

=m4[(m2+1)( m2+4)+3m2]

m2 (m2+1)( m2+4)=R2.

故N在以线段GH为直径的圆外.

试题详情

2.(全国Ⅰ卷理21文22)已知抛物线的焦点为F,过点的直线相交于两点,点A关于轴的对称点为D .

(Ⅰ)证明:点F在直线BD上;

(Ⅱ)设,求的内切圆M的方程 .

[命题意图]本小题为解析几何与平面向量综合的问题,主要考查抛物线的性质、直线与圆的位置关系,直线与抛物线的位置关系、圆的几何性质与圆的方程的求解、平面向量的数量积等知识,考查考生综合运用数学知识进行推理论证的能力、运算能力和解决问题的能力,同时考查了数形结合思想、设而不求思想.

[解析]设的方程为.

(Ⅱ)由①知,

   

     因为 

    故    ,解得   

     所以的方程为

又由①知  

故直线BD的斜率

因而直线BD的方程为

因为KF为的平分线,故可设圆心及BD的距离分别为.

,或(舍去),

故  圆M的半径.所以圆M的方程为.

试题详情

1.(福建卷文19)已知抛物线C的方程C:y 2 =2 p x(p>0)过点A(1,-2).

(I)求抛物线C的方程,并求其准线方程;

(II)是否存在平行于OA(O为坐标原点)的直线l,使得直线l与抛物线C有公共点,且直线OA与l 的距离等于?若存在,求出直线l的方程;若不存在,说明理由。

试题详情

6.(重庆卷文13)已知过抛物线y2=4x的焦点F的直线交该抛物线于A、B两点,|AF|=2,则|BF|=        。

[答案]2

[解析]由抛物线的定义可知

    故2

试题详情

5.(重庆卷理14)已知以F为焦点的抛物线上的两点A、B满足,则弦AB的中点到准线的距离为___________.

[答案]

解析:设BF=m,由抛物线的定义知

中,AC=2m,AB=4m,

 直线AB方程为

 与抛物线方程联立消y得

所以AB中点到准线距离为

试题详情

4.(浙江卷理13)设抛物线的焦点为,点.若线段的中点在抛物线上,则到该抛物线准线的距离为_____________。

解析:利用抛物线的定义结合题设条件可得出p的值为,B点坐标为()所以点B到抛物线准线的距离为,本题主要考察抛物线的定义及几何性质,属容易题

试题详情


同步练习册答案