题目列表(包括答案和解析)
15.
(江西卷文20)如图,
与
都是边长为2的正三角形,平面
平面
,
平面
,
.
(1)求直线
与平面
所成的角的大小;
(2)求平面
与平面
所成的二面角的正弦值.
[解析]本题主要考查了考查立体图形的空间感、线面角、二面角、空间向量、二面角平面角的判断有关知识,同时也考查了空间想象能力和推理能力
解法一:(1)取CD中点O,连OB,OM,则OB⊥CD,OM⊥CD.
又平面
平面
,则MO⊥平面
,所以MO∥AB,A、B、O、M共面.延长AM、BO相交于E,则∠AEB就是AM与平面BCD所成的角.
OB=MO=
,MO∥AB,则
,
,所以
,故
.
(2)CE是平面
与平面
的交线.
由(1)知,O是BE的中点,则BCED是菱形.
作BF⊥EC于F,连AF,则AF⊥EC,∠AFB就是二面角A-EC-B的平面角,设为
.
因为∠BCE=120°,所以∠BCF=60°.
,
,![]()
所以,所求二面角的正弦值是
.
解法二:取CD中点O,连OB,OM,则OB⊥CD,OM⊥CD,又平面
平面
,则MO⊥平面
.
以O为原点,直线OC、BO、OM为x轴,y轴,z轴,建立空间直角坐标系如图.
OB=OM=
,则各点坐标分别为O(0,0,0),C(1,0,0),M(0,0,
),B(0,-
,0),A(0,-
,2
),
(1)设直线AM与平面BCD所成的角为
.
因
(0,
,
),平面
的法向量为
.则有
,所以
.
(2)
,
.
设平面ACM的法向量为
,
由
得
.解得
,
,取
.
又平面BCD的法向量为
,则![]()
设所求二面角为
,则
.
14.(江西卷理20)如图,
与
都是边长为2的正三角形,平面
平面
,
平面
,
.
(1)求点
到平面
的距离;
(2)求平面
与平面
所成二面角的正弦值.
[解析]本题以图形拼折为载体主要考查了考查立体图形的空间感、点到直线的距离、二面角、空间向量、二面角平面角的判断有关知识,同时也考查了空间想象能力和推理能力
解法一:(1)取CD中点O,连OB,OM,则OB⊥CD,OM⊥CD.又平面
平面
,则MO⊥平面
,所以MO∥AB,A、B、O、M共面.延长AM、BO相交于E,则∠AEB就是AM与平面BCD所成的角.OB=MO=
,MO∥AB,MO//面ABC,M、O到平面ABC的距离相等,作OH
BC于H,连MH,则MH
BC,求得:
OH=OCsin600=
,MH=
,利用体积相等得:
。
(2)CE是平面
与平面
的交线.
由(1)知,O是BE的中点,则BCED是菱形.
作BF⊥EC于F,连AF,则AF⊥EC,∠AFB就是二面角A-EC-B的平面角,设为
.
因为∠BCE=120°,所以∠BCF=60°.
,
,![]()
所以,所求二面角的正弦值是
.
[点评]传统方法在处理时要注意到辅助线的处理,一般采用射影、垂线、平行线等特殊位置的元素解决
解法二:取CD中点O,连OB,OM,则OB⊥CD,OM⊥CD,又平面
平面
,则MO⊥平面
.
以O为原点,直线OC、BO、OM为x轴,y轴,z轴,建立空间直角坐标系如图.
OB=OM=
,则各点坐标分别为O(0,0,0),C(1,0,0),M(0,0,
),B(0,-
,0),A(0,-
,2
),
(1)设
是平面MBC的法向量,则
,
,由
得
;由
得
;取
,则距离
![]()
(2)
,
.
![]()
设平面ACM的法向量为
,
由
得
.解得
,
,取
.
又平面BCD的法向量为
,则![]()
设所求二面角为
,则
.
[点评]向量方法作为沟通代数和几何的工具在考察中越来越常见,此类方法的要点在于建立恰当的坐标系,便于计算,位置关系明确,以计算代替分析,起到简化的作用,但计算必须慎之又慎
13.![]()
(江苏卷16)如图,四棱锥P-ABCD中,PD⊥平面ABCD,PD=DC=BC=1,AB=2,AB∥DC,∠BCD=900
求证:PC⊥BC
求点A到平面PBC的距离
[解析] 本小题主要考查直线与平面、平面与平面的位置关系,考查几何体的体积,考查空间想象能力、推理论证能力和运算能力。满分14分。
(1)证明:因为PD⊥平面ABCD,BC
平面ABCD,所以PD⊥BC。
由∠BCD=900,得CD⊥BC,
又PD
DC=D,PD、DC
平面PCD,
所以BC⊥平面PCD。
因为PC
平面PCD,故PC⊥BC。
(2)(方法一)分别取AB、PC的中点E、F,连DE、DF,则:
易证DE∥CB,DE∥平面PBC,点D、E到平面PBC的距离相等。
又点A到平面PBC的距离等于E到平面PBC的距离的2倍。
由(1)知:BC⊥平面PCD,所以平面PBC⊥平面PCD于PC,
因为PD=DC,PF=FC,所以DF⊥PC,所以DF⊥平面PBC于F。
易知DF=
,故点A到平面PBC的距离等于
。
(方法二)体积法:连结AC。设点A到平面PBC的距离为h。
因为AB∥DC,∠BCD=900,所以∠ABC=900。
从而AB=2,BC=1,得
的面积
。
由PD⊥平面ABCD及PD=1,得三棱锥P-ABC的体积
。
因为PD⊥平面ABCD,DC
平面ABCD,所以PD⊥DC。
又PD=DC=1,所以
。
由PC⊥BC,BC=1,得
的面积
。
由
,
,得
,
故点A到平面PBC的距离等于
。
12.
(湖南卷文18)如图所示,在长方体
中,AB=AD=1,AA1=2,M是棱CC1的中点
(Ⅰ)求异面直线A1M和C1D1所成的角的正切值;
(Ⅱ)证明:平面ABM⊥平面A1B1M1
11.(湖南卷理18)如图5所示,在正方体ABCD-A1B1C1D1中,E是棱DD1的中点。
(Ⅰ)求直线BE与平面ABB1A1所成的角的正弦值;
(Ⅱ)在棱C1D1上是否存在一点F,使B1F//平面A1BE?证明你的结论。![]()
[解析]
![]()
![]()
所以
,取
n
.
设F是棱C1D1上的点,则F(t,1,1)(0≤t≤1),又B1(1,0,1),所以
![]()
n![]()
![]()
这说明在在棱C1D1上是否存在一点F(
),使B1F//平面A1BE
解法2 如图(a)所示,取AA1的中点M,连结EM,BM,因为E是DD1的中点,四边形ADD1A1为正方形,所以EM//AD。
又在正方体ABCD-A1B1C1D1中。AD⊥平面ABB1A1,所以EM⊥ABB1A1,从而BM为直线BE在平面ABB1A1上的射影,∠EBM直线BE与平面ABB1A1所成的角.
设正方体的棱长为2,则EM=AD=2,BE=
,于是
在RT△BEM中,![]()
![]()
![]()
10.
(湖北卷文18)如图,在四面体ABOC中,OC⊥OA。OC⊥OB,∠AOB=120°,且OA=OB=OC=1
(Ⅰ)设P为AC的中点,Q在AB上且AB=3AQ,证明:PQ⊥OA;
(Ⅱ)求二面角O-AC-B的平面角的余弦值。
![]()
![]()
8.
(广东卷文18)如图4,弧
是半径为
的半圆,
为直径,点
为弧AC的中点,点
和点
为线段
的三等分点,平面
外一点
满足![]()
平面
,
=
.
(1)证明:
;
(2)求点
到平面
的距离.
解析:(1)证明:
点E为弧AC的中点
![]()
9.(湖北卷理18)如图, 在四面体ABOC中,
,
且![]()
(Ⅰ)设为
为
的中点,
证明: 在
上存在一点
,使
,并计算
的值;
(Ⅱ)求二面角
的平面角的余弦值。
![]()
![]()
![]()
![]()
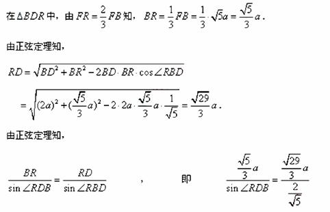
7.
(广东卷理18)如图,弧AEC是半径为a的半圆,AC为直径,点E为弧AC的中点,点B和点C为线段AD的三等分点。平面AEC外一点F满足FB=FD=
a,FE=
a
,
(1)证明:EB⊥FD;
(2)已知点Q,R分别为线段FE,FB上的点,使得FQ=
FE,FR=
FB,求平面BED与平面RQD所成二面角的正弦值。
![]()
(2)设平面
与平面RQD的交线为
.
由BQ=
FE,FR=
FB知,
.
而
平面
,∴
平面
,
而平面![]()
平面
=
,
∴
.
由(1)知,![]()
平面
,∴![]()
平面
,
而
平面
,
平面
,
∴
,
∴
是平面
与平面
所成二面角的平面角.
在
中,
,
,
.
![]()
.
故平面
与平面
所成二面角的正弦值是
.
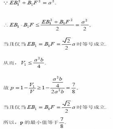
6.
(福建卷文20)如图,在长方体ABCD-A1B1C1D1 中,E,H分别是棱A1B1,D1C1上的点(点E与B1 不重合),且EH∥A1 D1. 过EH的平面与棱BB1 ,CC1 相交,交点分别为F,G。
(I)证明:AD∥平面EFGH;
(II)设AB=2AA1 =2 a .在长方体ABCD-A1B1C1D1 内随机选取一点。记该点取自几何体A1ABFE-D1DCGH内的概率为p,当点E,F分别在棱A1B1上运动且满足EF=a时,求p的最小值.
![]()
![]()
5.![]()
![]()
(福建卷理18)如图,圆柱
内有一个三棱柱
,三棱柱的底面为圆柱底面的内接三角形,且
是圆
的直径。
(Ⅰ)证明:平面
⊥平面
;
(Ⅱ)设
。在圆柱
内随机选取一点,记该点取自于三棱柱
内的概率为
。
(ⅰ)当点
在圆周上运动时,求
的最大值;
(ⅱ)记平面
与平面
所成的角为
(0°<
≤90°)。当
取最大值时,求
的值。
[命题意图]本小题主要考查直线与直线、直线与平面、平面与平面的位置关系,以及几何体的体积、几何概型等基础知识,考查空间想象能力、运算求解能力、推理论证能力,考查数形结合思想、化归与转化思想、必然与或然思想。
[解析](Ⅰ)因为![]()
平面ABC,
平面ABC,所以![]()
![]()
,
因为AB是圆O直径,所以![]()
![]()
,又![]()
,所以![]()
平面
,
而
平面
,所以平面
平面
。
(Ⅱ)(i)设圆柱的底面半径为
,则AB=
,故三棱柱
的体积为
=
,又因为
,
所以
=
,当且仅当
时等号成立,
从而
,而圆柱的体积
,
故
=
当且仅当
,即
时等号成立,
所以
的最大值是
。
(ii)由(i)可知,
取最大值时,
,于是以O为坐标原点,建立空间直角坐标系
(如图),则C(r,0,0),B(0,r,0),
(0,r,2r),
因为![]()
平面
,所以
是平面
的一个法向量,
设平面
的法向量
,由
,故
,
取
得平面
的一个法向量为
,因为
,
所以
。
湖北省互联网违法和不良信息举报平台 | 网上有害信息举报专区 | 电信诈骗举报专区 | 涉历史虚无主义有害信息举报专区 | 涉企侵权举报专区
违法和不良信息举报电话:027-86699610 举报邮箱:58377363@163.com