题目列表(包括答案和解析)
19.(全国Ⅰ卷文21)已知函数![]()
(I)当
时,求
的极值;
(II)若
在
上是增函数,求
的取值范围
解:(Ⅰ)![]()
当
时,
,
在
内单调减,在
内单调增,在
时,
有极小值. 所以
是
的极小值.
![]()
18.(全国Ⅰ卷理20)已知函数
.
(Ⅰ)若
,求
的取值范围;
(Ⅱ)证明:
.
[命题意图]本小题主要考查函数、导数、不等式证明等知识,通过运用导数知识解决函数、不等式问题,考查了考生综合运用数学知识解决问题的能力以及计算能力,同时也考查了函数与方程思想、化归与转化思想.
[解析] (Ⅰ)
,
,
题设
等价于
.
令
,则![]()
当
,
;当
时,
,
是
的最大值点,
综上,
的取值范围是
.
(Ⅱ)有(Ⅰ)知,
即
.
当
时,
;
当
时,
![]()
![]()
![]()
![]()
所以![]()
17.(辽宁卷文21)已知函数
.
(Ⅰ)讨论函数
的单调性;
(Ⅱ)设
,证明:对任意
,
。
解:(Ⅰ) f(x)的定义域为(0,+
),
.
当a≥0时,
>0,故f(x)在(0,+
)单调增加;
当a≤-1时,
<0, 故f(x)在(0,+
)单调减少;
当-1<a<0时,令
=0,解得x=
.当x∈(0,
)时,
>0;
x∈(
,+
)时,
<0, 故f(x)在(0,
)单调增加,在(
,+
)单调减少.
(Ⅱ)不妨假设x1≥x2.由于a≤-2,故f(x)在(0,+
)单调减少.
所以
等价于
≥4x1-4x2 , 即f(x2)+ 4x2≥f(x1)+ 4x1.
令g(x)=f(x)+4x,则
+4=
.
于是
≤
=
≤0.
从而g(x)在(0,+
)单调减少,故g(x1) ≤g(x2),
即 f(x1)+ 4x1≤f(x2)+ 4x2,故对任意x1,x2∈(0,+
)
,
.
16.(辽宁卷理21)已知函数![]()
(I)讨论函数
的单调性;
(II)设
.如果对任意
,
,求
的取值范围。
![]()
15.(江西卷文17)设函数
.
(1)若
的两个极值点为
,且
,求实数
的值;
(2)是否存在实数
,使得
是
上的单调函数?若存在,求出
的值;若不存在,说明理由.
考查函数利用导数处理函数极值单调性等知识
[解析]![]()
(1)由已知有
,从而
,所以
;
(2)由
,
所以不存在实数
,使得
是
上的单调函数.
14.(江西卷理19)设函数![]()
.
(1)当
时,求
的单调区间;
(2)若
在
上的最大值为
,求
的值.
考查函数导数运算、利用导数处理函数最值等知识。
[解析]对函数求导得:
,定义域为(0,2)
单调性的处理,通过导数的零点进行穿线判别符号完成。
当a=1时,令![]()
![]()
当
为增区间;当
为减函数。
区间
上的最值问题,通过导数得到单调性,结合极值点和端点的比较得到,确定待定量a的值。
当
有最大值,则必不为减函数,且
>0,为单调递增区间。
最大值在右端点取到。
。
13.(江苏卷20)设
使定义在区间
上的函数,其导函数为
.如果存在实数
和函数
,其中
对任意的
都有
>0,使得
,则称函数
具有性质
.
(1)设函数![]()
,其中
为实数
①求证:函数
具有性质![]()
②求函数
的单调区间
(2)已知函数
具有性质
,给定![]()
,
,且
,若|
|<
|
|,求
的取值范围
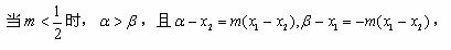
[解析] 本小题主要考查函数的概念、性质、图象及导数等基础知识,考查灵活运用数形结合、分类讨论的思想方法进行探索、分析与解决问题的综合能力。满分16分。
(1)(i)![]()
![]()
∵
时,
恒成立,
∴函数
具有性质
;
(ii)(方法一)设
,
与
的符号相同。
当
时,![]()
,![]()
,故此时
在区间
上递增;
当
时,对于
,有![]()
,所以此时
在区间
上递增;
当
时,
图像开口向上,对称轴
,而
,
对于
,总有![]()
,![]()
,故此时
在区间
上递增;
(方法二)当
时,对于
,![]()
所以![]()
,故此时
在区间
上递增;
当
时,
图像开口向上,对称轴
,方程
的两根为:
,而![]()
当
时,![]()
,![]()
,故此时
在区间
上递减;同理得:
在区间
上递增。
综上所述,当
时,
在区间
上递增;
当
时,
在
上递减;
在
上递增。
(2)(方法一)由题意,得:![]()
又
对任意的
都有
>0,
所以对任意的
都有
,
在
上递增。
又
。
当
时,
,且
,
![]()
![]()
![]()
![]()
![]()
![]()
![]()
综合以上讨论,得:所求
的取值范围是(0,1)。
(方法二)由题设知,
的导函数
,其中函数
对于任意的
都成立。所以,当
时,
,从而
在区间
上单调递增。
①当
时,有
,
,得
,同理可得
,所以由
的单调性知
、![]()
,
从而有|
|<|
|,符合题设。
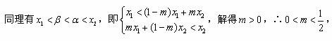
②当
时,
,
,于是由
及
的单调性知
,所以|
|≥|
|,与题设不符。
③当
时,同理可得
,进而得|
|≥|
|,与题设不符。
因此综合①、②、③得所求的
的取值范围是(0,1)。
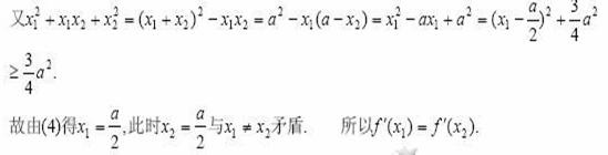
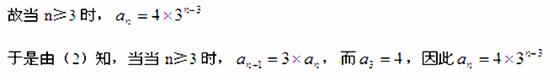
11.(湖南卷理21)数列
中,a1=a,a n+1是函数
的极小值点
(Ⅰ)当a=0时,求通项
;
(Ⅱ)是否存在a,使数列
是等比数列?若存在,求a的取值范围;若不存在,请说明理由。
[解析]易知![]()
令![]()
(1)![]()
![]()
![]()
![]()
故
在![]()
(2)![]()
(3)
![]()
![]()
![]()
![]()
![]()
12(湖南卷文21)已知函数
其中a<0,且a≠-1.
(Ⅰ)讨论函数
的单调性;
(Ⅱ)设函数
(e是自然数的底数)。是否存在a,使
在[a,-a]上为减函数?若存在,求a的取值范围;若不存在,请说明理由。
![]()
![]()
![]()
10.![]()
![]()
![]()
(湖北卷文21)设函数
,其中a>0,曲线
在点P(0,
)处的切线方程为y=1
(Ⅰ)确定b、c的值
(Ⅱ)设曲线
在点(
)及(
)处的切线都过点(0,2)证明:当
时,![]()
(Ⅲ)若过点(0,2)可作曲线
的三条不同切线,求a的取值范围。
![]()
![]()
![]()
![]()
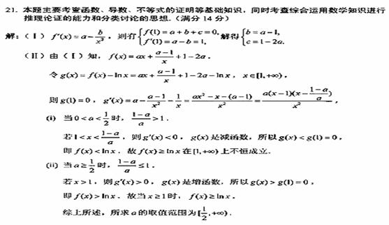
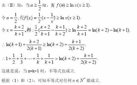
9.(湖北卷理21)已知函数f(x)=ax+
+c(a>0)的图象在点(1,f(1))处的切线方程为y=x-1.
(Ⅰ)用a表示出b,c;
(Ⅱ)若f(x)>㏑x在[1,∞]上恒成立,求a的取值范围;
(Ⅲ)证明:1+
+
+…+
>㏑(n+1)+
)(n≥1).
湖北省互联网违法和不良信息举报平台 | 网上有害信息举报专区 | 电信诈骗举报专区 | 涉历史虚无主义有害信息举报专区 | 涉企侵权举报专区
违法和不良信息举报电话:027-86699610 举报邮箱:58377363@163.com