题目列表(包括答案和解析)

 0  54696  54704  54710  54714  54720  54722  54726  54732  54734  54740  54746  54750  54752  54756  54762  54764  54770  54774  54776  54780  54782  54786  54788  54790  54791  54792  54794  54795  54796  54798  54800  54804  54806  54810  54812  54816  54822  54824  54830  54834  54836  54840  54846  54852  54854  54860  54864  54866  54872  54876  54882  54890  447348 

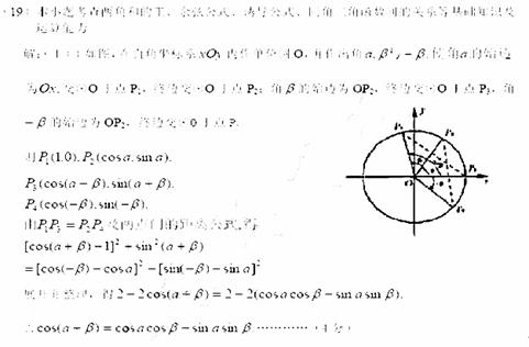
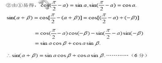
2.(四川卷理19 I文19I)

1证明两角和的余弦公式

2由推导两角和的正弦公式.

试题详情

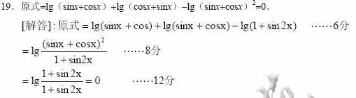
1.(上海卷理19文19)已知,化简:

.

试题详情

4.(重庆卷文15)如题(15)图,图中的实线是由三段圆弧连接而成的一条封闭曲线,各段弧所在的圆经过同一点(点不在上)且半径相等. 设第段弧所对的圆心角为,则____________ .

[答案]

[解析]

,所以.

试题详情

3. (全国Ⅱ卷理13)已知是第二象限的角,,则     .

[答案]

[命题意图]本试题主要考查三角函数的诱导公式、正切的二倍角公式和解方程,考查考生的计算能力.

[解析]由,又,解得,又是第二象限的角,所以.

试题详情

2. (全国Ⅰ卷文14))已知为第二象限的角,,则         .

[答案][命题意图]本小题主要考查三角函数值符号的判断、同角三角函数关系、和角的正切公式,同时考查了基本运算能力及等价变换的解题技能.

[解析]因为为第二象限的角,又, 所以,所

试题详情

1. (全国Ⅰ卷理14)已知为第三象限的角,,则         .

[答案][命题意图]本小题主要考查三角函数值符号的判断、同角三角函数关系、和角的正切公式,同时考查了基本运算能力及等价变换的解题技能.

[解析]因为为第三象限的角,所以,又<0, 所以,于是有,

,所以.

试题详情

6. (浙江卷理4文6)设,则“”是“”的

(A)充分而不必要条件        (B)必要而不充分条件

(C)充分必要条件          (D)既不充分也不必要条件

解析:因为0<x<,所以sinx<1,故xsin2x<xsinx,结合xsin2x与xsinx的取值范围相同,可知答案选B,本题主要考察了必要条件、充分条件与充要条件的意义,以及转化思想和处理不等关系的能力,属中档题

试题详情

5. (全国Ⅱ卷文3)已知,则

 (A)    (B)       (C)    (D)

[解析]B:本题考查了二倍角公式及诱导公式,∵ sina=2/3,

试题详情

4. (全国Ⅰ新卷文10)若= -,a是第一象限的角,则=

(A)-    (B)     (C)    (D)

[答案]A 

解析:由已知得,所以

试题详情

3. (全国Ⅰ新卷理9)若是第三象限的角,则

(A)    (B)        (C) 2      (D) -2

[答案]A 

解析:由已知得,所以,又属于第二或第四象限,故由解得:,从而

另解:由已知得,所以

试题详情


同步练习册答案