题目列表(包括答案和解析)
2.(福建卷理7)若点O和点
分别是双曲线
的中心和左焦点,点P为双曲线右支上的任意一点,则
的取值范围为 ( )
A.
B.
C.
D. ![]()
[答案]B
[解析]因为
是已知双曲线的左焦点,所以
,即
,所以双曲线方程为
,设点P
,则有
,解得
,因为
,
,所以
=![]()
![]()
,此二次函数对应的抛物线的对称轴为
,因为
,所以当
时,
取得最小值![]()
,故
的取值范围是
,选B。
[命题意图]本题考查待定系数法求双曲线方程,考查平面向量的数量积的坐标运算、二次函数的单调性与最值等,考查了同学们对基础知识的熟练程序以及知识的综合应用能力、运算能力。
1.(安徽卷理5)双曲线方程为
,则它的右焦点坐标为
A、
B、
C、
D、![]()
[答案]C
[解析]双曲线的
,
,
,所以右焦点为
.
[误区警示]本题考查双曲线的交点,把双曲线方程先转化为标准方程,然后利用
求出c即可得出交点坐标.但因方程不是标准形式,很多学生会误认为
或
,从而得出错误结论.
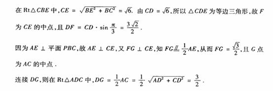
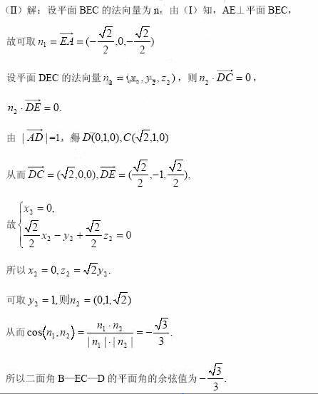
33.(重庆卷文20)如题(20)图,四棱柱P-ABCD中,底面ABCD
为矩形,PA⊥底面
点E是棱PB的中点。
( Ⅰ)证明:AE⊥平面PBC
(Ⅱ)若AD=1,求二面角B-EC-D的平面角的余弦值。
![]()
![]()
![]()
![]()
![]()
![]()
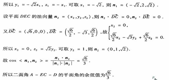
32.(重庆卷理19)如题(19)图,四棱锥P-ABCD中,底面ABCD为矩形,PA
底面ABCD,PA=AB=
,点E是棱PB的中点。
(Ⅰ)求直线AD与平面PBC的距离;
(Ⅱ)若AD=
,求二面角A-EC-D的平面角的余弦值。
![]()
![]()
![]()
![]()
![]()
![]()
![]()
31.(浙江卷文20)如图,在平行四边形ABCD中,AB=2BC,∠ABC=120°,E为线段AB的中点,将△ADE沿直线DE翻折成△A’DE,使平面A’DE⊥平面BCD,F为线段A’C的中点。
(Ⅰ)求证:BF∥平面A’DE;
(Ⅱ)设M为线段DE的中点,求直线FM与平面A’DE所成角的余弦值。
解析:本题主要考查空间线线、线面、面面位置关系,线面角等基础知识,同时考查空间想象能力和推理论证能力。
(Ⅰ)证明:取A′D的中点G,连结GF,CE,由条件易知
FG∥CD,FG=
CD.
BE∥CD,BE=
CD.
所以FG∥BE,FG=BE.
故四边形BEGF为平行四边形,
所以BF∥EG
因为
平面
,BF
平面![]()
所以 BF//平面![]()
(Ⅱ)解:在平行四边形,ABCD中,设BC=a
则AB=CD=2a, AD=AE=EB=a, 连CE
因为![]()
在△BCE中,可得CE=
a,
在△ADE中,可得DE=a,
在△CDE中,因为CD2=CE2+DE2,所以CE⊥DE,
在正三角形A′DE中,M为DE中点,所以A′M⊥DE.
由平面A′DE⊥平面BCD,
可知A′M⊥平面BCD,A′M⊥CE.
取A′E的中点N,连线NM、NF,
所以NF⊥DE,NF⊥A′M.
因为DE交A′M于M,
所以NF⊥平面A′DE,
则∠FMN为直线FM与平面A′DE新成角.
在Rt△FMN中,NF=
a,
MN=
a,
FM=a
,则cos
=
.
所以直线FM与平面A′DE所成角的余弦值为
.
30.
(浙江卷理20)如图,
在矩形
中,点
分别在线段
上,
.沿直线
将
翻折成
,使平面
.
(Ⅰ)求二面角
的余弦值;
(Ⅱ)点
分别在线段
上,若沿直线
将四边形
向上翻折,使
与
重合,求线段
的长。
解析:本题主要考察空间点、线、面位置关系,二面角等基础知识,空间向量的应用,同事考查空间想象能力和运算求解能力。
(Ⅰ)解:取线段EF的中点H,连结
,因为
=
及H是EF的中点,所以
,
又因为平面
平面
.如图建立空间直角坐标系A-xyz则
(2,2,
),C(10,8,0),
F(4,0,0),D(10,0,0).
故
=(-2,2,2
),
=(6,0,0).
设
=(x,y,z)为平面
的一个法向量,
-2x+2y+2
z=0
所以
6x=0.
取
,则
。
又平面
的一个法向量
,
故
。
所以二面角的余弦值为![]()
(Ⅱ)解:设
则
,
因为翻折后,
与
重合,所以
,
故,
,得
,
经检验,此时点
在线段
上,所以
。
方法二:
(Ⅰ)解:取线段
的中点
,
的中点
,连结
。
因为
=
及
是
的中点,所以![]()
又因为平面![]()
平面
,
所以
平面
,
又
平面
,故![]()
,
又因为
、
是
、
的中点,易知
∥
,
所以![]()
![]()
,于是![]()
面
,
所以
为二面角
的平面角,
在
中,
=
,
=2,
=![]()
所以
.故二面角
的余弦值为
。
(Ⅱ)解:设
,
因为翻折后,
与
重合,所以
,
而
,
![]()
得
,
经检验,此时点
在线段
上,所以
。
29.
(天津卷文19)如图,在五面体ABCDEF中,四边形ADEF是正方形,FA⊥平面ABCD,BC∥AD,CD=1,AD=
,∠BAD=∠CDA=45°.
(Ⅰ)求异面直线CE与AF所成角的余弦值;
(Ⅱ)证明CD⊥平面ABF;
(Ⅲ)求二面角B-EF-A的正切值。
[命题意图]本小题主要考查异面直线所成的角、直线与平面垂直、二面角等基础知识,考查空间想象能力,运算能力和推理论证能力.
[解析](I)解:因为四边形ADEF是正方形,所以FA//ED.故
为异面直线CE与AF所成的角.
因为FA
平面ABCD,所以FA
CD.故ED
CD.
在Rt△CDE中,CD=1,ED=
,CE=
=3,故cos
=
=
.
所以异面直线CE和AF所成角的余弦值为
.
(Ⅱ)证明:过点B作BG//CD,交AD于点G,则
.由
,可得BG
AB,从而CD
AB,又CD
FA,FA
AB=A,所以CD
平面ABF.
(Ⅲ)解:由(Ⅱ)及已知,可得AG=
,即G为AD的中点.取EF的中点N,连接GN,则GN
EF,因为BC//AD,所以BC//EF.过点N作NM
EF,交BC于点M,则
为二面角B-EF-A的平面角。
连接GM,可得AD
平面GNM,故AD
GM.从而BC
GM.由已知,可得GM=
.由NG//FA,FA
GM,得NG
GM.
在Rt△NGM中,tan
,所以二面角B-EF-A的正切值为
.
28.
(天津卷理19)如图,在长方体
中,
、
分别是棱
,
上的点,
,![]()
求异面直线
与
所成角的余弦值;
证明![]()
平面![]()
![]()
求二面角
的正弦值。
[命题意图]本小题主要考查异面直线所成的角、直线与平面垂直、二面角等基础知识,考查用空间向量解决立体几何问题的方法,考查空间想象能力、运算能力和推理论证能力。
[解析]方法一:如图所示,建立空间直角坐标系,点A为坐标原点,设
,依题意得
,
,
,![]()
解:易得
,![]()
于是![]()
所以异面直线
与
所成角的余弦值为![]()
证明:已知
,
,![]()
于是
·
=0,
·
=0.因此,
,
,又![]()
所以
平面![]()
(3)解:设平面
的法向量
,则
,即![]()
不妨令X=1,可得
。由(2)可知,
为平面
的一个法向量。
于是
,从而![]()
所以二面角
的正弦值为![]()
方法二:(1)解:设AB=1,可得AD=2,AA1=4,CF=1.CE=![]()
链接B1C,BC1,设B1C与BC1交于点M,易知A1D∥B1C,由
,可知EF∥BC1.故
是异面直线EF与A1D所成的角,易知BM=CM=
,所以
,所以异面直线FE与A1D所成角的余弦值为![]()
(2)证明:连接AC,设AC与DE交点N 因为
,所以
,从而
,又由于
,所以
,故AC⊥DE,又因为CC1⊥DE且
,所以DE⊥平面ACF,从而AF⊥DE.
连接BF,同理可证B1C⊥平面ABF,从而AF⊥B1C,所以AF⊥A1D因为
,所以AF⊥平面A1ED
(3)解:连接A1N.FN,由(2)可知DE⊥平面ACF,又NF
平面ACF, A1N
平面ACF,所以DE⊥NF,DE⊥A1N,故
为二面角A1-ED-F的平面角
易知
,所以
,又
所以
,在![]()
![]()
连接A1C1,A1F 在![]()
。所以![]()
所以二面角A1-DE-F正弦值为
。
27.![]()
(四川卷文18)在正方体ABCD-A′B′C′D′中,点M
是棱AA′的中点,点O是对角线BD′的中点.
(Ⅰ)求证:OM为异面直线AA′和BD′的公垂线;
(Ⅱ)求二面角M-BC′-B′的大小;
![]()
![]()
![]()
26.
(四川卷理18)已知正方体
的棱长为1,点
是棱
的中点,点
是对角线
的中点.
(Ⅰ)求证:
为异面直线
和
的公垂线;
(Ⅱ)求二面角
的大小;
(Ⅲ)求三棱锥
的体积.
![]()
![]()
![]()
湖北省互联网违法和不良信息举报平台 | 网上有害信息举报专区 | 电信诈骗举报专区 | 涉历史虚无主义有害信息举报专区 | 涉企侵权举报专区
违法和不良信息举报电话:027-86699610 举报邮箱:58377363@163.com