题目列表(包括答案和解析)

 0  54576  54584  54590  54594  54600  54602  54606  54612  54614  54620  54626  54630  54632  54636  54642  54644  54650  54654  54656  54660  54662  54666  54668  54670  54671  54672  54674  54675  54676  54678  54680  54684  54686  54690  54692  54696  54702  54704  54710  54714  54716  54720  54726  54732  54734  54740  54744  54746  54752  54756  54762  54770  447348 

4.(2009四川卷文)函数的反函数是

  A.          B.

  C.         D.

答案  C

解析  由,又因原函数的值域是

∴其反函数是

试题详情

3.(2009天津卷文)设,则                   (    )

A a<b<c  B a<c<b  C b<c<a   D b<a<c

答案   B

 解析  由已知结合对数函数图像和指数函数图像得到,而,因此选B。

[考点定位]本试题考查了对数函数和指数函数的性质运用,考查了基本的运算能

试题详情

2.(2009北京文)为了得到函数的图像,只需把函数的图像上所有

点                                                                    (    )

   A.向左平移3个单位长度,再向上平移1个单位长度

   B.向右平移3个单位长度,再向上平移1个单位长度

   C.向左平移3个单位长度,再向下平移1个单位长度

   D.向右平移3个单位长度,再向下平移1个单位长度

答案  C

.w              解析  本题主要考查函数图象的平移变换. 属于基础知识、基本运算的考查.

试题详情

1.(2009年广东卷文)若函数是函数的反函数,且,则                                                        (    )

A.  B.  C.  D.2

答案  A

解析  函数的反函数是,又,即,

所以,,故,选A.

试题详情

3.(2010湖北理)17.(本小题满分12分)

  为了在夏季降温和冬季供暖时减少能源损耗,房屋的屋顶和外墙需要建造隔热层。某幢建筑物要建造可使用20年的隔热层,每厘米厚的隔热层建造成本为6万元。该建筑物每年的能源消耗费用C(单位:万元)与隔热层厚度x(单位:cm)满足关系:C(x)=若不建隔热层,每年能源消耗费用为8万元。设f(x)为隔热层建造费用与20年的能源消耗费用之和。

(Ⅰ)求k的值及f(x)的表达式。

(Ⅱ)隔热层修建多厚时,总费用f(x)达到最小,并求最小值。

2009年高考题

试题详情

2.(2010四川文)(22)(本小题满分14分)

(),g(x)是f(x)的反函数.

(Ⅰ)求

(Ⅱ)当时,恒有成立,求t的取值范围;

(Ⅲ)当0<a≤时,试比较f(1)+f(2)+…+f(n)与的大小,并说明理由.

试题详情

1.(2010四川理)(22)(本小题满分14分)

(),g(x)是f(x)的反函数.

(Ⅰ)设关于的方程求在区间[2,6]上有实数解,求t的取值范围;

(Ⅱ)当ae(e为自然对数的底数)时,证明:

(Ⅲ)当0<a≤时,试比较与4的大小,并说明理由.

本小题考产函数、反函数、方程、不等式、导数及其应用等基础知识,考察化归、分类整合等数学思想方法,以及推理论证、分析与解决问题的能力.

解:(1)由题意,得ax>0

g(x)=x∈(-∞,-1)∪(1,+∞)

t=(x-1)2(7-x),x∈[2,6]

t'=-3x2+18x-15=-3(x-1)(x-5)

列表如下:

x
2
(2,5)
5
(5,6)
6
t'
 
+
0
-
 
t
5

极大值32

25

所以t最小值=5,t最大值=32

所以t的取值范围为[5,32]……………………………………………………5分

(2)

      =ln()

      =-ln

u(z)=-lnz2=-2lnz+zz>0

u'(z)=-=(1-)2≥0

所以u(z)在(0,+∞)上是增函数

又因为>1>0,所以u()>u(1)=0

ln>0

………………………………………………………………9分

(3)设a,则p≥1,1<f(1)=≤3

n=1时,|f(1)-1|=≤2<4

n≥2时

k≥2,kN *时,则f(k)=

             =1+

所以1<f(k)≤1+

从而n-1<n-1+n+1-n+1

所以nf(1)+n+1≤n+4

综上所述,总有|n|<4

试题详情

1.(2010上海文)9.函数的反函数的图像与轴的交点坐标是     

答案 (0,-2)

解析:考查反函数相关概念、性质

法一:函数的反函数为,另x=0,有y=-2

法二:函数图像与x轴交点为(-2,0),利用对称性可知,函数的反函数的图像与轴的交点为(0,-2)

试题详情

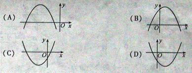
15.(2010安徽理)6、设,二次函数的图象可能是

答案 D

[解析]当时,同号,(C)(D)两图中,故,选项(D)符合.

[方法技巧]根据二次函数图像开口向上或向下,分两种情况分类考虑.另外还要注意c值是抛物线与y轴交点的纵坐标,还要注意对称轴的位置或定点坐标的位置等.

试题详情

14.(2010四川文)(2)函数y=log2x的图象大致是

(A)        (B)       (C)       (D)

答案 C

解析:本题考查对数函数的图象和基本性质.

试题详情


同步练习册答案