题目列表(包括答案和解析)

 0  54712  54720  54726  54730  54736  54738  54742  54748  54750  54756  54762  54766  54768  54772  54778  54780  54786  54790  54792  54796  54798  54802  54804  54806  54807  54808  54810  54811  54812  54814  54816  54820  54822  54826  54828  54832  54838  54840  54846  54850  54852  54856  54862  54868  54870  54876  54880  54882  54888  54892  54898  54906  447348 

4.(2010浙江理数)(4)设,则“”是“”的w_w w. k#s5_

(A)充分而不必要条件        (B)必要而不充分条件

(C)充分必要条件          (D)既不充分也不必要条件

答案:B

解析:因为0<x<,所以sinx<1,故xsin2x<xsinx,结合xsin2x与xsinx的取值范围相同,可知答案选B,本题主要考察了必要条件、充分条件与充要条件的意义,以及转化思想和处理不等关系的能力,属中档题

试题详情

3.(2010浙江理数)(9)设函数,则在下列区间中函数存在零点的是w_w w. k#s5_

(A)    (B)   (C)    (D)

答案:A

解析:将的零点转化为函数的交点,数形结合可知答案选A,本题主要考察了三角函数图像的平移和函数与方程的相关知识点,突出了对转化思想和数形结合思想的考察,对能力要求较高,属较难题

试题详情

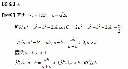
2.(2010湖南文数)7.在△ABC中,角A,B,C所对的边长分别为a,b,c,若∠C=120°,c=a,则

A.a>b       B.a<b

C. a=b       D.a与b的大小关系不能确定

[命题意图]本题考查余弦定理,特殊角的三角函数值,不等式的性质,比较法,属中档题。

试题详情

1.(2010上海文数)18.若△的三个内角满足,则△

(A)一定是锐角三角形.     (B)一定是直角三角形.

(C)一定是钝角三角形.      (D)可能是锐角三角形,也可能是钝角三角形.

答案:C

解析:由及正弦定理得a:b:c=5:11:13

    由余弦定理得,所以角C为钝角

试题详情

23.(2010福建理数)3.设等差数列的前n项和为,若,,则当取最小值时,n等于w_w w. k#s5_

A.6          B.7         C.8         D.9

[答案]A

[解析]设该数列的公差为,则,解得

所以,所以当时,取最小值。

[命题意图]本题考查等差数列的通项公式以及前n项和公式的应用,考查二次函数最值的求法及计算能力。

试题详情

22.(2010湖北理数)7、如图,在半径为r 的园内作内接正六边形,再作正六边形的内切圆,又在此内切圆内作内接正六边形,如此无限继续下去,设为前n个圆的面积之和,则=  w_w w. k#s5_

A. 2   B.    C.4   D.6

试题详情

21.(2010安徽理数)10、设是任意等比数列,它的前项和,前项和与前项和分别为,则下列等式中恒成立的是w_w w. k#s5_

A、                            B、

C、                               D、

[答案]D

[分析]取等比数列,令代入验算,只有选项D满足。

[方法技巧]对于含有较多字母的客观题,可以取满足条件的数字代替字母,代入验证,若能排除3个选项,剩下唯一正确的就一定正确;若不能完全排除,可以取其他数字验证继续排除.本题也可以首项、公比即项数n表示代入验证得结论.

试题详情

20.(2010山东理数)

试题详情

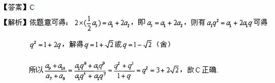
19.(2010湖北文数)7.已知等比数列{}中,各项都是正数,且成等差数列,则

A.          B.               C.             Dw_w w. k#s5_

试题详情

18.(2010全国卷1理数)(4)已知各项均为正数的等比数列{}中,=5,=10,则=w_w w. k#s5_

 (A)   (B) 7   (C) 6    (D)

试题详情


同步练习册答案