题目列表(包括答案和解析)
2.(北京卷文6)给定函数①
,②
,③
,④
,期中在区间(0,1)上单调递减的函数序号是
(A)①② (B)②③ (C)③④ (D)①④
1.(安徽卷理4)若
是
上周期为5的奇函数,且满足
,则![]()
A、-1 B、1 C、-2 D、2
[答案]A
![]()
19.
(天津卷文21)已知椭圆
(a>b>0)的离心率e=
,连接椭圆的四个顶点得到的菱形的面积为4.
(Ⅰ)求椭圆的方程;
(Ⅱ)设直线l与椭圆相交于不同的两点A、B,已知点A的坐标为(-a,0).
(i)若
,求直线l的倾斜角;
(ii)若点Q
在线段AB的垂直平分线上,且
.求
的值.
[命题意图]本小题主要考查椭圆的标准方程和几何性质、直线的方程、两点间的距离公式、直线的倾斜角、平面向量等基础知识,考查用代数方法研究圆锥曲线的性质及数形结合的思想,考查综合分析与运算能力.
[解析](Ⅰ)解:由e=
,得
.再由
,解得a=2b.
由题意可知
,即ab=2.
解方程组
得a=2,b=1,所以椭圆的方程为
.
(Ⅱ)(i)解:由(Ⅰ)可知点A的坐标是(-2,0).设点B的坐标为
,直线l的斜率为k.则直线l的方程为y=k(x+2).
于是A、B两点的坐标满足方程组
消去y并整理,得
.
由
,得
.从而
.
所以
.
由
,得
.
整理得
,即
,解得k=
.
所以直线l的倾斜角为
或
.
(ii)解:设线段AB的中点为M,由(i)得到M的坐标为
.
以下分两种情况:
(1)当k=0时,点B的坐标是(2,0),线段AB的垂直平分线为y轴,于是
由
,得
。
(2)当
时,线段AB的垂直平分线方程为
。
令
,解得
。
由
,
,
![]()
,
整理得
。故
。所以
。
综上,
或![]()
当
等价于![]()
解不等式组得-5<a<5.因此
.
20(浙江卷理21)已知m>1,直线
,
椭圆
,
分别为椭圆
的左、右焦点.
(Ⅰ)当直线
过右焦点
时,求直线
的方程;
(Ⅱ)设直线
与椭圆
交于
两点,
,
的重心分别为
.若原点
在以线段
为直径的圆内,求实数
的取值范围.
解析:本题主要考察椭圆的几何性质,直线与椭圆,点与圆的位置关系等基础知识,同时考察解析几何的基本思想方法和综合解题能力。
(Ⅰ)解:因为直线![]()
经过
,
所以
,得
,
又因为
,所以
,
故直线
的方程为
。
(Ⅱ)解:设
。
由
,消去
得
![]()
则由
,知
,
且有
。
由于
,故
为
的中点,
由
,可知![]()
![]()
设
是
的中点,则
,
由题意可知![]()
即
即![]()
而
![]()
所以
即![]()
又因为
且
所以
。
所以
的取值范围是
。
18.(天津卷理20)已知椭圆
的离心率
,连接椭圆的四个顶点得到的菱形的面积为4。
求椭圆的方程;
设直线
与椭圆相交于不同的两点
,已知点
的坐标为(
),点
在线段
的垂直平分线上,且
,求
的值
[命题意图]本小题主要考察椭圆的标准方程和几何性质,直线的方程,平面向量等基础知识,考查用代数方法研究圆锥曲线的性质及数形结合的思想,考查运算和推理能力。
[解析](1)解:由
,得
,再由
,得![]()
由题意可知,
![]()
解方程组
得 a=2,b=1
所以椭圆的方程为![]()
(2)解:由(1)可知A(-2,0)。设B点的坐标为(x1,,y1),直线l的斜率为k,则直线l的方程为y=k(x+2),
于是A,B两点的坐标满足方程组![]()
由方程组消去Y并整理,得![]()
由
得![]()
设线段AB是中点为M,则M的坐标为![]()
以下分两种情况:
(1)当k=0时,点B的坐标为(2,0)。线段AB的垂直平分线为y轴,于是
![]()
(2)当K
时,线段AB的垂直平分线方程为![]()
令x=0,解得![]()
由![]()
![]()
![]()
整理得![]()
综上
。
17.(上海卷文23)已知椭圆
的方程为
,
、
和
为
的三个顶点.
(1)若点
满足
,求点
的坐标;
(2)设直线
交椭圆
于
、
两点,交直线
于点
.若
,证明:
为
的中点;
(3)设点
在椭圆
内且不在
轴上,如何构作过
中点
的直线
,使得
与椭圆
的两个交点
、
满足
?令
,
,点
的坐标是(-8,-1),若椭圆
上的点
、
满足
,求点
、
的坐标.
解析:(1)
;
(2) 由方程组
,消y得方程
,
因为直线
交椭圆
于
、
两点,所以D>0,即
,
设C(x1,y1)、D(x2,y2),CD中点坐标为(x0,y0),
则
,由方程组
,消y得方程(k2-k1)x=p,
又因为
,所以
,
故E为CD的中点;
(3) 因为点P在椭圆Γ内且不在x轴上,所以点F在椭圆Γ内,可以求得直线OF的斜率k2,由
知F为P1P2的中点,根据(2)可得直线l的斜率
,从而得直线l的方程.
,直线OF的斜率
,直线l的斜率
,
解方程组
,消y:x2-2x-48=0,解得P1(-6,-4)、P2(8,3).
16.(上海卷理23)已知椭圆
的方程为
,点P的坐标为(-a,b).
(1)若直角坐标平面上的点M、A(0,-b),B(a,0)满足
,求点
的坐标;
(2)设直线
交椭圆
于
、
两点,交直线
于点
.若
,证明:
为
的中点;
(3)对于椭圆
上的点Q(a cosθ,b sinθ)(0<θ<π),如果椭圆
上存在不同的两个交点
、
满足
,写出求作点
、
的步骤,并求出使
、
存在的θ的取值范围.
解析:(1)
;
(2) 由方程组
,消y得方程
,
因为直线
交椭圆
于
、
两点,所以D>0,即
,
设C(x1,y1)、D(x2,y2),CD中点坐标为(x0,y0),
则
,由方程组
,消y得方程(k2-k1)x=p,
又因为
,所以
,故E为CD的中点;
(3) 求作点P1、P2的步骤:1°求出PQ的中点
,
2°求出直线OE的斜率
,
3°由
知E为CD的中点,根据(2)可得CD的斜率
,
4°从而得直线CD的方程:
,
5°将直线CD与椭圆Γ的方程联立,方程组的解即为点P1、P2的坐标.
欲使P1、P2存在,必须点E在椭圆内,
所以
,化简得
,
,
又0<q <p,即
,所以
,
故q 的取值范围是
.
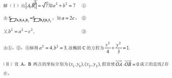
15.(陕西卷文20)如图,椭圆C:
的顶点为A1,A2,B1,B2,焦点为F1,F2, | A1B1| =
,![]()
(Ⅰ)求椭圆C的方程;
(Ⅱ)设n 为过原点的直线,l是与n垂直相交与点P,与椭圆相交于A,B两点的直线
,是否存在上述直线l使
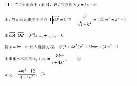
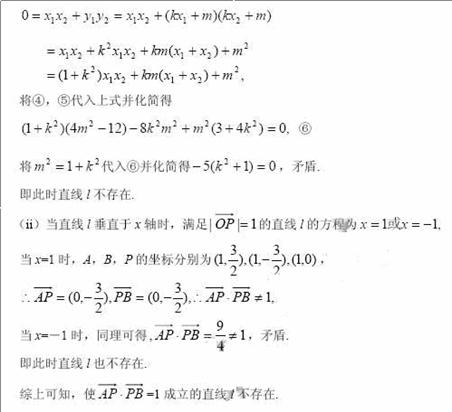
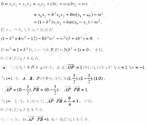
成立?若存在,求出直线l的方程;并说出;若不存在,请说明理由。
![]()
![]()
14.(陕西卷理20)
如图,椭圆C:
的顶点为A1,A2,B1,B2,焦点为F1,F2, | A1B1| =
,![]()
(Ⅰ)求椭圆C的方程;
(Ⅱ)设n是过原点的直线,l是与n垂直相交于P点、与椭圆相交于A,B两点的直线,
,是否存在上述直线l使
成立?若存在,求出直线l的方程;若不存在,请说明理由。
![]()
![]()
![]()
13.
(山东卷文22)如图,已知椭圆
过
点.
,离心率为
,左、右焦点分别为
、
.点
为直线
上且不在
轴上的任意一点,直线
和
与椭圆的交点分别为
、
和
、
,
为坐标原点.
(I)求椭圆的标准方程;
(II)设直线
、
的斜线分别为
、
.
(i)证明:
;
(ii)问直线
上是否存在点
,使得直线
、
、
、
的斜率
、
、
、
满足
?若存在,求出所有满足条件的点
的坐标;若不存在,说明理由.
[命题意图]本小题主要考查椭圆的基本概念和性质,考查直线与椭圆的位置关系,考查数形结合思想、分类讨论思想以及探求解决新问题的能力。
[解析](Ⅰ)解:因为椭圆过点(1,
),e=
,
所以
,
.
又a2=b2+c2,所以
,故所求椭圆方程为
.
(Ⅱ)(i)设点P(
,
),则
=
,
=
,因为点
不在
轴上,所以
,又![]()
=2,所以![]()
![]()
=![]()
,
因此结论成立。
![]()
![]()
11.(全国Ⅰ新卷文20)设
,
分别是椭圆E:
+
=1(0﹤b﹤1)的左、右焦点,过
的直线
与E相交于A、B两点,且
,
,
成等差数列。
(Ⅰ)求![]()
(Ⅱ)若直线
的斜率为1,求b的值。
解: (1)由椭圆定义知![]()
又![]()
(2)L的方程式为y=x+c,其中![]()
设
,则A,B 两点坐标满足方程组
化简得
则![]()
因为直线AB的斜率为1,所以
即
.
则
解得
.
12
(山东卷理21)如图,已知椭圆
的离心率为
,以该椭圆上的点和椭圆的左右焦点F1、F2为顶点的三角形的周长
为
。一等轴双曲线的顶点是该椭圆的焦点,设
P为该双曲线上异于顶点的任一点,直线PF1和PF2与
椭圆的焦点分别为A、B和C、D。
(Ⅰ)求椭圆和双曲线的标准方程
(Ⅱ)设直线PF1、PF2的斜率分别为k1、k2,
证明:k1·k2=1
(Ⅲ)是否存在常数
,使得|AB|+|CD|=
|AB|·|CD|
恒成立?若存在,求
的值,若不存在,请说明理由。
[解析](Ⅰ)由题意知,椭圆离心率为![]()
,得
,又![]()
,所以可解得
,
,所以
,所以椭圆的标准方程为
;所以椭圆的焦点坐标为(
,0),因为双曲线为等轴双曲线,且顶点是该椭圆的焦点,所以该双曲线的标准方程为
。
(Ⅱ)设点P(
,
),则
=
,
=
,所以![]()
![]()
=
,又点P(
,
)在双曲线上,所以有
,即
,所以
![]()
=1。
(Ⅲ)假设存在常数
,使得
恒成立,则由(Ⅱ)知
,所以设直线AB的方程为
,则直线CD的方程为
,
由方程组
消y得:
,设
,
,
则由韦达定理得:![]()
![]()
所以|AB|=
=
,同理可得
|CD|=
=
=
,
又因为
,所以有
=
+![]()
=
,所以存在常数![]()
,使得
恒成立。
[命题意图]本题考查了椭圆的定义、离心率、椭圆与双曲线的标准方程、直线与圆锥曲线的位置关系,是一道综合性的试题,考查了学生综合运用知识解决问题的能力。其中问题(3)是一个开放性问题,考查了同学们观察、推理以及创造性地分析问题、解决问题的能力,
(标准答案)本小题主要考查椭圆、双曲线的基本概念和基本性质。考查直线和椭圆的位置关系,考查坐标化、定值和存在性问题,考查数行结合思想和探求问题的能力。
解(Ⅰ)设椭圆的半焦距为c,由题意知:![]()
,2a+2c=4(
+1)所以a=2
,c=2,
又
=
,因此b=2。故 椭圆的标准方程为![]()
由题意设等轴双曲线的标准方程为![]()
,因为等轴双曲线的顶点是椭圆的焦点。所以m=2,
因此 双曲线的标准方程为![]()
(Ⅱ)设A(
,
),B(
),P(
),则
=
,
。
因为点P在双曲线
上,所以
。
因此
,即![]()
![]()
同理可得
.
则
,
又
,所以 ![]()
.
故 ![]()
因此 存在
,使
恒成立.
湖北省互联网违法和不良信息举报平台 | 网上有害信息举报专区 | 电信诈骗举报专区 | 涉历史虚无主义有害信息举报专区 | 涉企侵权举报专区
违法和不良信息举报电话:027-86699610 举报邮箱:58377363@163.com