题目列表(包括答案和解析)

 0  56757  56765  56771  56775  56781  56783  56787  56793  56795  56801  56807  56811  56813  56817  56823  56825  56831  56835  56837  56841  56843  56847  56849  56851  56852  56853  56855  56856  56857  56859  56861  56865  56867  56871  56873  56877  56883  56885  56891  56895  56897  56901  56907  56913  56915  56921  56925  56927  56933  56937  56943  56951  447348 

9.直线与圆有两个不同交点的一个充分不必要条件是

   A.       B.

   C.       D.

试题详情

7.右图是一个几何体的三视图,根据图中数据,可得该几何题的表面积是

   A.

   B.

   C.

   D.

试题详情

6.设是两条不同的直线,为两个不同的平面, 则下列四个命题中不正确的是

   A.    B.

   C.    D.

试题详情

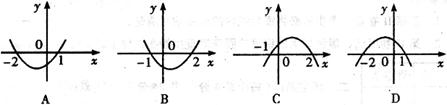
5.如果不等式的解集为,那么函数的大致图象是

试题详情

4.若平面向量的夹角是180°,且,则的坐标为

   A.      B.     C.     D.

试题详情

3.过抛物线的焦点作直线交抛物线于两点,若,则等于

   A.4      B.5      C.6      D.8

试题详情

2.要得到函数的图象,只需将函数的图象

   A.向右平移个单位长度     B.向左平移个单位长度

   C.向右平移个单位长度     D.向左平移个单位长度

试题详情

1.已知集合

   A.        B.

   C.        D.

试题详情

22.(本小题满分14分)已知函数

(Ⅰ)若[1,+∞上是增函数,求实数a的取值范围;

(Ⅱ)若x=3是的极值点,求[1,a]上的最小值和最大值.

试题详情


同步练习册答案