题目列表(包括答案和解析)

 0  57161  57169  57175  57179  57185  57187  57191  57197  57199  57205  57211  57215  57217  57221  57227  57229  57235  57239  57241  57245  57247  57251  57253  57255  57256  57257  57259  57260  57261  57263  57265  57269  57271  57275  57277  57281  57287  57289  57295  57299  57301  57305  57311  57317  57319  57325  57329  57331  57337  57341  57347  57355  447348 

15.(考生注意:请在下列三题中任选一题作答,如果多做,则按所做的第一题评分)

A.(不等式选做题)若关于的不等式存在实数解,则实数的取值范围是

B.(几何证明选做题)如图,,且,则

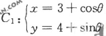
C.(坐标系与参数方程选做题)直角坐标系中,以原点为极点,轴的正半轴为极轴建立极坐标系,设点A,B分别在曲线(为参数)和曲线上,则的最小值为  3

试题详情

14.植树节某班20名同学在一段直线公路一侧植树,每人植一棵,相邻两棵树相距10米。开始时需将树苗集中放置在某一树坑旁边,使每位同学从各自树坑出发前来领取树苗往返所走的路程总和最小,这个最小值为2000(米)。

试题详情

13.观察下列等式

1=1

2+3+4=9

3+4+5+6+7=25

4+5+6+7+8+9+10=49

……

照此规律,第个等式为

试题详情

12.设,一元二次方程有正数根的充要条件是=  3或4  

试题详情

11.设,则=   1 

试题详情

10.甲乙两人一起去游“2011西安世园会”,他们约定,各自独立地从1到6号景点中任选4个进行游览,每个景点参观1小时,则最后一小时他们同在一个景点的概率是[D]

(A)  (B)  (C)  (D)

试题详情

9.设(),(),…,()是变量个样本点,直线是由这些样本点通过最小二乘法得到的线性回归直线(如图),以下结论中正确的是[D]

(A)的相关系数为直线的斜率

(B)的相关系数在0到1之间

(C)当为偶数时,分布在两侧的样本点的个数一定相同

(D)直线过点

试题详情

16. 右图中,为某次考试三个评阅人对同一道题的独立评分,P为该题的最终得分。当=6,=9,p=8.5时,等于 (  )

(A)11

(B)10

(C)8

(D)7

试题详情

15. 设集合M={y|x-x|,x∈R},

N={x||x-|<,i为虚数单位,x∈R},则M∩N为(  )

(A)(0,1)

(B)(0,1]

(C)[0,1)

(D)[0,1]

试题详情

17. 没有零点     (B)有且仅有一个零点

(C)有且仅有两个零点 (D)有无穷多个零点

试题详情


同步练习册答案