题目列表(包括答案和解析)

 0  57180  57188  57194  57198  57204  57206  57210  57216  57218  57224  57230  57234  57236  57240  57246  57248  57254  57258  57260  57264  57266  57270  57272  57274  57275  57276  57278  57279  57280  57282  57284  57288  57290  57294  57296  57300  57306  57308  57314  57318  57320  57324  57330  57336  57338  57344  57348  57350  57356  57360  57366  57374  447348 

11.若直线y=2a与函数y=|ax-1|(a>0且a≠1)的图象有两个公共点,求a的取值范围.

解:当0<a<1时,y=|ax-1|的图象如图(1)所示,

由已知得0<2a<1,∴0<a<.

a>1时,y=|ax-1|的图象如图(2)所示,

由已知可得0<2a<1,∴0<a<,但a>1,故a∈∅.

综上可知,0<a<.

试题详情

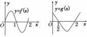
10.已知函数f(x)=log2(x+1),将函数yf(x)的图象向左平移一个单位,再将图象上所有点的纵坐标伸长到原来的2倍(横坐标不变),得到函数yg(x)的图象.求函数yg(x)的解析式.

解:由已知,将函数f(x)=log2(x+1)的图象向左平移一个单位,得到y=log2(x+1+1)的图象,再将图象上所有点的纵坐标伸长到原来的2倍(横坐标不变),得到函数yg(x)=2log2(x+2)的图象.

g(x)=2log2(x+2).

试题详情

9.已知定义在[0,+∞)上的函数yf(x)和yg(x)的图象如图所示,则不等式f(xg(x)>0的解集是____________.

解析:由题图可知,当0<x<时,f(x)>0,g(x)>0;

当<x<1时,f(x)>0,g(x)<0;

当1<x<2时,f(x)<0,g(x)<0,

x>2时,f(x)>0,g(x)>0,

因此f(xg(x)>0的解集是

{x|0<x<,或1<x<2或x>2}.

答案:{x|0<x<,或1<x<2或x>2}

试题详情

8.如图,函数f(x)的图象是曲线OAB,其中点OAB的坐标分别为(0,0),(1,2),(3,1),则f()的值等于________.

解析:由图象知f(3)=1,

∴=1,∴f()=f(1)=2.

答案:2

试题详情

7.为了得到函数f(x)=log2x的图象,只需将函数g(x)=log2的图象__________________.

解析:g(x)=log2=log2x-3=f(x)-3,因此只需将函数g(x)的图象向上平移3个单位即可得到函数f(x)=log2x的图象.

答案:向上平移3个单位

试题详情

6.函数y=2|x|的定义域为[ab],值域为[1,16],当a变动时,函数bg(a)的图象可以是( )

解析:由图象知

bg(a),即为b=4(-4≤a≤0).

答案:B

试题详情

5.若方程f(x)-2=0在(-∞,0)内有解,则yf(x)的图象是( )

解析:由图可知,只有D中yf(x)图象与y=2图象在x<0时有交点.

答案:D

试题详情

4.函数y=ln的图象为( )

解析:易知2x-3≠0,即x≠,排除C,D项.当x>时,函数为减函数,当x<时,函数为增函数.

答案:A

试题详情

3.已知f(x)=,则如图中函数的图象错误的是( )

解析:因f(x)=其图象如图,验证知f(x-1),f(-x),f(|x|)的图象均正确,只有|f(x)|的图象错误.

答案:D

试题详情

2.把函数yf(x)=(x-2)2+2的图象向左平移1个单位,再向上平移1个单位,所得图象对应的函数的解析式是( )

A.y=(x-3)2+3            B.y=(x-3)2+1

C.y=(x-1)2+3            D.y=(x-1)2+1

解析:把函数yf(x)的图象向左平移1个单位,即把其中x换成x+1,于是得y=[(x+1)-2]2+2=(x-1)2+2,再向上平移1个单位,即得到y=(x-1)2+2+1=(x-1)2+3.

答案:C

试题详情


同步练习册答案