题目列表(包括答案和解析)

 0  57160  57168  57174  57178  57184  57186  57190  57196  57198  57204  57210  57214  57216  57220  57226  57228  57234  57238  57240  57244  57246  57250  57252  57254  57255  57256  57258  57259  57260  57262  57264  57268  57270  57274  57276  57280  57286  57288  57294  57298  57300  57304  57310  57316  57318  57324  57328  57330  57336  57340  57346  57354  447348 

6. 函数f(x)=-cosx在[0,+∞)内 (   )

试题详情

5. 某几何体的三视图如图所示,则它的体积是(  )

(A)     

(B)        

(C)8-2π

(D)

试题详情

3.设函数满足,则的图像可能是(  )

    4. (x∈R展开式中的常数项是  (  )

(A)-20 (B)-15  (C)15  (D)20

试题详情

2.设抛物线的顶点在原点,准线方程为,则抛物线的方程是  (  )

  (A)  (B)  (C)   (D)

试题详情

1. 设是向量,命题“若,则∣∣= ∣∣”的逆命题是  (  )

  (A)若,则∣∣      (B)若,则∣

  (C)若∣∣,则∣∣  (D)若∣∣=∣∣,则= -

试题详情

(15)(本小题共13分)

已知函数

(Ⅰ)求的最小正周期:

(Ⅱ)求在区间上的最大值和最小值。

(16)(本小题共14分)

如图,在四棱锥中,平面,底面是菱形,.

 

(Ⅰ)求证:平面

(Ⅱ)若所成角的余弦值;

(Ⅲ)当平面与平面垂直时,求的长.

(17)本小题共13分

以下茎叶图记录了甲、乙两组各四名同学的植树棵树。乙组记录中有一个数据模糊,无法确认,在图中以X表示。

(Ⅰ)如果X=8,求乙组同学植树棵树的平均数和方差;

(Ⅱ)如果X=9,分别从甲、乙两组中随机选取一名同学,求这两名同学的植树总棵树Y的分布列和数学期望。

(注:方差,其中,…… 的平均数)

(18)(本小题共13分)

已知函数

(Ⅰ)求的单调区间;

(Ⅱ)若对于任意的,都有,求的取值范围。

(19)(本小题共14分)

已知椭圆.过点(m,0)作圆的切线l交椭圆GAB两点.

(I)求椭圆G的焦点坐标和离心率;

(II)将表示为m的函数,并求的最大值.

 (20)(本小题共13分)

若数列满足,数列数列,记=.

(Ⅰ)写出一个满足,且〉0的数列

(Ⅱ)若,n=2000,证明:E数列是递增数列的充要条件是=2011;

(Ⅲ)对任意给定的整数n(n≥2),是否存在首项为0的E数列,使得=0?如果存在,写出一个满足条件的E数列;如果不存在,说明理由。

试题详情

(9)在中。若b=5,,tanA=2,则sinA=____________;a=_______________。

(10)已知向量a=(,1),b=(0,-1),c=(k,)。若a-2b与c共线,则k=___________________。

(11)在等比数列{an}中,a1=,a4=-4,则公比q=______________;_________________。

(12)用数字2,3组成四位数,且数字2,3至少都出现一次,这样的四位数共有__________个。(用数字作答)

(13)已知函数若关于x 的方程f(x)=k有两个不同的实根,则数k的取值范围是_______

(14)曲线C是平面内与两个定点F1(-1,0)和F2(1,0)的距离的积等于常数 a2 (a >1)的点的轨迹.给出下列三个结论:

① 曲线C过坐标原点;

② 曲线C关于坐标原点对称;

③若点P在曲线C上,则△FPF的面积大于a

其中,所有正确结论的序号是       。

试题详情

(1)已知集合P={x︱x2≤1},M={a}.若P∪M=P,则a的取值范围是

(A)(-∞, -1]  (B)[1, +∞)  (C)[-1,1]  (D)(-∞,-1] ∪[1,+∞)

(2)复数

(A)i       (B)-i        (C)     (D)

(3)在极坐标系中,圆ρ=-2sinθ的圆心的极坐标系是

(A)     (B)        (C)  (1,0)       (D)(1,)

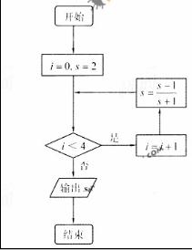
(4)执行如图所示的程序框图,输出的s值为

(A)-3

(B)-

(C)

(D)2

(5)如图,AD,AE,BC分别与圆O切于点D,E,F,延长AF与圆O交于另一点G。给出下列三个结论:

1AD+AE=AB+BC+CA;

2AF·AG=AD·AE

③△AFB -△ADG

其中正确结论的序号是

(A)①②              (B)②③

(C)①③              (D)①②③

(6)根据统计,一名工作组装第4件某产品所用的时间(单位:分钟)为(A,C为常数)。已知工人组装第4件产品用时30分钟,组装第A件产品用时15分钟,那么C和A的值分别是

(A)75,25  (B)75,16  (C)60,25    (D)60,16

(7)某四面体的三视图如图所示,该四面体四个面的面积中,最大的是

(A) 8    (B)    (C)10    (D)

(8)设,,.记为平行四边形ABCD内部(不含边界)的整点的个数,其中整点是指横、纵坐标都是整数的点,则函数的值域为

(A)            (B)

(C)            (D)

试题详情

(15)(本小题共13分)

已知函数

(Ⅰ)求的最小正周期;

(Ⅱ)求在区间上的最大值和最小值。

(16)(本小题共13分)

以下茎叶图记录了甲、乙两组各四名同学的植树棵数。乙组记录中有一个数据模糊,无法确认,在图中经X表示。  

(Ⅰ)如果X=8,求乙组同学植树棵数的平均数和方差;

(Ⅱ)如果X=9,分别从甲、乙两组中随机选取一名同学,求这两名同学的植树总棵数为19的概率。  

(注:方差其中的平均数) 

(17)(本小题共14分)

   如图,在四面体中,分别是棱的中点。

(Ⅰ)求证:平面

(Ⅱ)求证:四边形为矩形;

(Ⅲ )是否存在点,到四面体六条棱的中点  的距离相等?说明理由。

(18)(本小题共13分)

   已知函数

(Ⅰ)求的单调区间;

(Ⅱ)求在区间上的最小值。

(19)(本小题共14分)

   已知椭圆的离心率为,右焦点为。斜率为1的直线与椭圆交于两点,以为底边作等腰三角形,顶点为

(Ⅰ)求椭圆的方程;

(Ⅱ)求的面积。

(20)(本小题共13分)

若数列满足 ,则称数列。记

(Ⅰ)写出一个数列满足

(Ⅱ)若,证明:数列是递增数列的充要条件是

(Ⅲ)在数列中,求使得成立的的最小值。                        

试题详情

  (9)在中,若,则        .

  (10)已知双曲线的一条渐近线的方程为,则      .

  (11)已知向量。若,共线,则=    .

  (12)在等比数列中,若则公比        

             .

(13)已知函数 若关于的方程 有两个不同的实

根,则实数的取值范围是       . 

(14)设R)。记为平行四边形ABCD内部(不含边界)的整点的个数,其中整点是指横、纵坐标都是整数的点,则       的所有可能取值为         。 

试题详情


同步练习册答案