题目列表(包括答案和解析)

 0  99518  99526  99532  99536  99542  99544  99548  99554  99556  99562  99568  99572  99574  99578  99584  99586  99592  99596  99598  99602  99604  99608  99610  99612  99613  99614  99616  99617  99618  99620  99622  99626  99628  99632  99634  99638  99644  99646  99652  99656  99658  99662  99668  99674  99676  99682  99686  99688  99694  99698  99704  99712  447348 

9、已知平面与平面相交,直线,则           (   )

A、内必存在直线与平行,且存在直线与垂直

B、内不一定存在直线与平行,不一定存在直线与垂直

C、内不一定存在直线与平行,但必存在直线与垂直

D、内必存在直线与平行,却不一定存在直线与垂直

试题详情

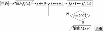
8、在如下程序框图中,输入,则输出的是       (   )

A、    B、-

 C、    D、-

试题详情

7、数列的前项和为,若,则等于      (  )

A、1    B、    C、    D、

试题详情

6、函数,已知时取得极值,则=(  )

A、2      B、3      C、4        D、5

试题详情

5、甲、乙两人独立地解同一问题,甲解决这个问题的概率是,乙解决这个问题的概率是,那么恰好有1人解决这个问题的概率是    (   )

   A、   B、  C、  D、

试题详情

4、椭圆的焦点为F1和F2,点P在椭圆上,如果线段PF1中点在y轴上,那么|PF1|是|PF2|的                (  )

A、7倍     B、5倍    C、4倍        D、3倍

试题详情

3、已知定点A、B且|AB|=4,动点P满足|PA|-|PB|=3,则点P的轨迹是(  )

   A、双曲线的一支 B、双曲线    C、两条射线   D、一条射线

试题详情

2、已知数列,那么“对任意的,点都在直线上”是“ 为等差数列”的                   (  )

A、 充分而不必要条件    B、必要而不充分条件

 C、 充要条件        D、既不充分也不必要条件

试题详情

1、已知复数,则                 (   )

A、 2    B、-2   C、2i     D、 -2i

试题详情

25.已知函数

 ⑴当,解不等式

⑵讨论的奇偶性,并说明理由

试题详情


同步练习册答案