题目列表(包括答案和解析)

 0  99821  99829  99835  99839  99845  99847  99851  99857  99859  99865  99871  99875  99877  99881  99887  99889  99895  99899  99901  99905  99907  99911  99913  99915  99916  99917  99919  99920  99921  99923  99925  99929  99931  99935  99937  99941  99947  99949  99955  99959  99961  99965  99971  99977  99979  99985  99989  99991  99997  100001  100007  100015  447348 

6、类比平面内正三角形的“三边相等,三内角相等”的性质,可推出正四面体的下列哪些性质,你认为比较恰当的是(  )

①各棱长相等,同一顶点上的任两条棱的夹角都相等;②各个面都是全等的正三角形,相邻两个面所成的二面角都相等;③各个面都是全等的正三角形,同一顶点上的任两条棱的夹角都相等

A.①;        B.①②;       C.①②③;      D.③。

试题详情

5.如果复数的实部与虚部互为相反数,那么实数b等于(  )

A.       B.        C.2         D.-

试题详情

4.从某大学随机选取8名女大学生,其身高(cm)和体重(kg)的回归方程为 ,则身高172cm的女大学生,由回归方程可以预报其体重  (  )

A.为6 0.316  B. 约为6 0.316   C.大于6 0.316   D.小于6 0.316

试题详情

3.独立性检验中的统计假设就是假设相关事件A,B           (  )

A.互斥     B.不互斥    C.相互独立     D.不独立

试题详情

2.下面几种推理过程是演绎推理的是                  (  )

A、两条直线平行,同旁内角互补,如果∠A和∠B是两条平行直线的同旁内角则∠A+∠B=180°

B、由平面三角形的性质,推测空间四面体性质

C、某校高三共有10个班,1班有51人,2班有53人,三班有52人由此推测各班都超过50人

D、在数列中,,由此推出的通项公式

试题详情

1.复数z=i+i2+i3+i4的值是               (   )

  A.-1      B.0       C.1       D.i

试题详情

22.定义在上的奇函数f(x)满足f(1)=1,且当,a+b0时,有

(1)证明: f(x)是上的增函数;

(2)若f(x)m+2am+1对所有的恒成立,求m的取值范围.

本资料由《七彩教育网》 提供!

试题详情

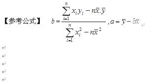
21.下表提供了某个厂节能降耗技术改造后生产甲产品过程中记录的产量x(吨)与相应的生产能耗y(吨标准煤)的几组对应数据

  x
  3
  4
  5
  6
  y
  2.5
  3
  4
  4.5

(1)画出数据的散点图

(2)请根据上表提供的数据,用最小二乘法求出y关于x的线性回归方程

(3)已知该厂技改前100吨甲产品的生产能耗为90吨标准煤,试根据(2)求出的线性回归方程,预测生产100吨甲产品的生产能耗比技改前降低多少吨标准煤?

 

 

 

试题详情

20.经市场调查,某种商品在过去50天的销售量和价格均为销售时间t (天)的函数,且销售量近似的满足f(t)= -2t+200 (1t50,tN),前30天价格为g(t)=t+30 (1t30,tN),后20天的价格为g(t)=45 (31t50,tN)

(1)写出该种商品的日销售额S与时间t的函数关系;

(2)求日销售额S的最大值.

试题详情

19.已知函数

(1)若的定义域为R,求实数的取值范围

(2)若的值域为R,求实数的取值范围

试题详情


同步练习册答案