0  163412  163420  163426  163430  163436  163438  163442  163448  163450  163456  163462  163466  163468  163472  163478  163480  163486  163490  163492  163496  163498  163502  163504  163506  163507  163508  163510  163511  163512  163514  163516  163520  163522  163526  163528  163532  163538  163540  163546  163550  163552  163556  163562  163568  163570  163576  163580  163582  163588  163592  163598  163606  447090 

(1) 若集合全集

A.             B. 

C.              D.

(2) 已知,则f()的值等于

A.     B.   C.   D.

(3) 我们知道,函数的图象经过适当变换可以得到的图象,则这种变换可以是

A.沿x轴向右平移个单位         B.沿x轴向左平移个单位

C.沿x轴向左平移个单位         D.沿x轴向右平移个单位

(4) 若奇函数满足,则的值是

A.0          B.1         C.         D.5

(5) 已知向量,其中均为非零向量,则的取值范围是

A、    B、    C、    D、

(6) 在钝角△ABC中,已知AB=, AC=1,∠B=30°,则△ABC的面积是    (   )

   A.      B.      C.       D.

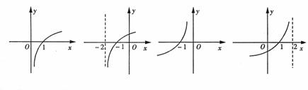
(7) 若函数的图象如右图所示,

则函数的图象大致为(  )

   

A         B       C        D

(8) 定义在R上的偶函数x的集合为  A.  B. C. D.

(9) 设函数,则有(   )

A、分别位于区间(1,2)、(2,3)、(3,4)内的三个根

B、四个根

C、分别位于区间(0,1)、(1,2)、(2,3)、(3,4)内的四个根

D、分别位于区间(0,1)、(1,2)、(2,3)内的三个根

 (10) 函数具有性质(   )

A. 最大值为,图象关于直线对称  B. 最大值为1,图象关于直线对称

C. 最大值为,图象关于对称    D. 最大值为1,图象关于对称

(11) CD是△ABC的边AB上的高,且,则(   )

A.         B.

C.   D.

(12)已知A,B,C是平面上不共线上三点,动点P满足,则P的轨迹一定通过

  A 内心       B 垂心      C 重心        D  AB边的中点

试题详情

21.(本小题满分114分)对所表示的平面区域为Dn,把Dn内的整点(横坐标与纵坐标均为整数的点)按其到原点的距离从近到远排成点列:

  (1)求

  (2)数列时,

  (3)在(2)的条件下,试比较与4的大小关系.

试题详情

20.(本小题满分13分)已知⊙

x轴上所截得定弦.

  (1)当O′点运动时,|MN|是否有变化?并证明你的结论;

    (2)当|OA|是|OM|与|ON|的等差中项时,试判断抛物线C的准线与圆O′的位置关系,并说明理由.

试题详情

19.(本小题满分12分)设的图像经过点如图所示,

  (1)求的解析式;

    (2)若对恒成立,求实数m的取值范围.

试题详情

18.(本小题满分12分)如图,正三棱柱ABC-A1B1C1的底面边长a,侧棱长为上.

  (1)若A1D=DC1,求证:直线BC1//平面AB1D

  (2)是否存在点D,使平面AB1D⊥平面ABB1A1,若存在,请确定点D的位置,若不存在,请说明理由;

    (3)请指出点D的位置,使二面角A1-AB1-D平面角的大小为arctan2.

试题详情

17.(本小题满分12分)箱中有15张大小、重量都一样的卡片,每张卡片正面分别标有1到15中的一个号码,正面号码为n的卡片反面标的数字是(卡片正反面用颜色区分)

  (1)如果任意取一张卡片,试求正面数字大于反面数字的概率;

  (2)如果同时取出两张卡片,试求他们反面数字相同的概率.

试题详情

16.(本小题满分12分)

  (1)求数量积

  (2)求的面积.

试题详情

14.已知

         .

  15.如图,设平面垂足分别为B、D.若增中一个条件,就能推出BD⊥EF.现有:

YCY
 
所成的角相等;

ACCD内的射影在同一条直线上;

AC//EF.

那么上述几个条件中能成为增加条件的是      (填上你认为正确的答案序号).

试题详情

13.数列=      .

试题详情

12.如果则把变量       的值增加1会使S的值增加最大(填入a,b,c,d,e中的某个字母).

试题详情


同步练习册答案