0  293916  293924  293930  293934  293940  293942  293946  293952  293954  293960  293966  293970  293972  293976  293982  293984  293990  293994  293996  294000  294002  294006  294008  294010  294011  294012  294014  294015  294016  294018  294020  294024  294026  294030  294032  294036  294042  294044  294050  294054  294056  294060  294066  294072  294074  294080  294084  294086  294092  294096  294102  294110  447090 

1.若=xi+yj+zk,那么(xyz)叫做向量的坐标,也叫点P的坐标.

试题详情

9.7  空间向量及其坐标运算(B)

●知识梳理

试题详情

2.空间中的任何一个向量都可以用不共面的三个向量线性表示,这三个向量也称为一个基底.在证明两个向量平行、垂直或求其夹角时,往往把它们用同一个基底来表示,从而实现解题的目的.

拓展题例

[例1] 下列命题中不正确的命题个数是

①若ABCD是空间任意四点,则有++ +=0  ②|a|-|b|=|a+b|是ab共线的充要条件  ③若ab共线,则ab所在直线平行  ④对空间任意点O与不共线的三点ABC,若=x+y+z(其中xyz∈R),则PABC四点共面

A.1              B.2              C.3              D.4

解析:易知只有①是正确的,对于④,若O平面ABC,则不共面,由空间向量基本定理知,P可为空间任一点,所以PABC四点不一定共面.

答案:C

[例2] A是△BCD所在平面外一点,MN分别是△ABC和△ACD的重心,若BD=4,试求MN的长.

解:连结AM并延长与BC相交于E,连结AN并延长与CD相交于E,则EF分别是BCCD的中点.

现在= = = ()== ()=

()=()=.

=||= ||= BD=.

说明:本题的关键是利用重心这一特殊位置逐步进行转化.

[例3] 设ABCA1B1C1分别是异面直线l1l2上的三点,而MNPQ分别是线段AA1BA1BB1CC1的中点.求证:MNPQ四点共面.

证明: = =

=2=2.

又∵ = (+),                                        (*)

ABCA1B1C1分别共线,

=λ=2=ω=2ω.

代入(*)式得= (2λ+2ω)=λ+ω,∴共面.

MNPQ四点共面.

试题详情

1.要使学生正确理解空间向量的加法法则、减法法则以及空间向量的数量积,掌握空间向量平行、垂直的条件及三个向量共面及四点共面的条件.

试题详情

2.应用向量知识解决几何问题时,一方面要选择恰当的基向量,另一方面要熟练地进行向量运算.

●教师下载中心

教学点睛

试题详情

1.若表示向量a1a2,…,an的有向线段终点和始点连结起来构成一个封闭折图形,则a1+a2+a3+…+an=0.

试题详情

8.(2004年全国Ⅰ,理20)如下图,已知四棱锥P-ABCDPBAD,侧面PAD为边长等于2的正三角形,底面ABCD为菱形,侧面PAD与底面ABCD所成的二面角为120°.

(1)求点P到平面ABCD的距离;

(2)求面APB与面CPB所成二面角的大小.

(1)解:如下图,作PO⊥平面ABCD,垂足为点O.连结OBOAODOBAD交于点E,连结PE.

ADPB,∴ADOB.∵PA=PD,∴OA=OD.

于是OB平分AD,点EAD的中点,∴PEAD.由此知∠PEB为面PAD与面ABCD所成二面角的平面角,∴∠PEB=120°,∠PEO=60°.由已知可求得PE=,∴PO=PE·sin60°=

×=,即点P到平面ABCD的距离为.

(2)解法一:如下图建立直角坐标系,其中O为坐标原点,x轴平行于DA.

P(0,0,),B(0,,0),PB中点G的坐标为(0,),连结AG.

又知A(1,,0),C(-2,,0).

由此得到 =(1,-,-),

 =(0,,-),=(-2,0,0).

于是有·=0,·=0,

. 的夹角θ等于所求二面角的平面角.

于是cosθ==-

∴所求二面角的大小为π-arccos.

解法二:如下图,取PB的中点GPC的中点F,连结EGAGGF,则AGPBFG

BCFG=BC.

ADPB,∴BCPBFGPB.∴∠AGF是所求二面角的平面角.

AD⊥面POB,∴ADEG.

又∵PE=BE,∴EGPB,且∠PEG=60°.

在Rt△PEG中,EG=PE·cos60°=

在Rt△GAE中,AE=AD=1,于是tan∠GAE== .

又∠AGF=π-∠GAE

∴所求二面角的大小为π-arctan.

●思悟小结

试题详情

7.在空间四边形ABCD中,求证:·+· +·=0.

证法一:把拆成+后重组,·+·+·=( +

+·+·=·+·+·+·=·(+)+·(+)=·+· = ·(+)=·0=0.

证法二:如下图,设a=b= c=,则·+·+·=(ba)·(-c)+(cab+(-a)·(cb)=-b·c+a·c+c·ba·ba·c+a·b=0.

评述:把平面向量的运算推广到空间后,许多基本的运算规则没有变.证法一中体现了向量的拆分重组技巧,要求较高;证法二设定三个向量为基底,而原式中所有向量化归为关于abc的式子,化简时的思路方向较清楚.

探究创新

试题详情

6.沿着正四面体OABC的三条棱的方向有大小等于1、2、3的三个力f1f2f3.试求此三个力的合力f的大小以及此合力与三条棱所夹角的余弦.

解:用abc分别代表棱上的三个单位向量,则f1=af2=2bf3=3c,则f=f1+f2+f3=a+2b+3c

∴|f|2=(a+2b+3c)·(a+2b+3c)=|a|2+4|b|2+9|c|2+4a·b+6a·c+12b·c=1+4+9+4|a||b|cos〈ab

+6|a||c|cos〈ac〉+12|b||c|cos〈bc〉=14+4cos60°+6cos60°+12cos60°=14+2+3+6=25.

∴|f|=5,即所求合力的大小为5,

且cos〈fa〉====.

同理,可得cos〈fb〉=,cos〈fc〉=.

试题详情

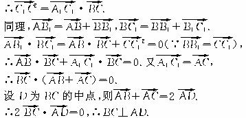
5.直三棱柱ABC-A1B1C1中,BC1AB1BC1A1C,求证:AB1=A1C.

证明:∵==·

AB=AC.又A1A=B1B,∴A1C=AB1.

评述:本题在利用空间向量来解决位置关系问题时,要用到空间多边形法则、向量的运算、数量积以及平行、相等和垂直的条件.

培养能力

试题详情


同步练习册答案