题目列表(包括答案和解析)

 0  99968  99976  99982  99986  99992  99994  99998  100004  100006  100012  100018  100022  100024  100028  100034  100036  100042  100046  100048  100052  100054  100058  100060  100062  100063  100064  100066  100067  100068  100070  100072  100076  100078  100082  100084  100088  100094  100096  100102  100106  100108  100112  100118  100124  100126  100132  100136  100138  100144  100148  100154  100162  447348 

1.直线、c两两平行,但不共面,则它们可以确实的平面个数是         (   )

    A.1个           B.2个           C.3个          D.6个

试题详情

22.定义在上的奇函数f(x)满足f(1)=1,且当,a+b0时,有

(1)证明: f(x)是上的增函数;

(2)若f(x)m+2am+1对所有的恒成立,求m的取值范围.

试题详情

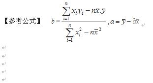
21.下表提供了某个厂节能降耗技术改造后生产甲产品过程中记录的产量x(吨)与相应的生产能耗y(吨标准煤)的几组对应数据

  x
  3
  4
  5
  6
  y
  2.5
  3
  4
  4.5

(1)画出数据的散点图

(2)请根据上表提供的数据,用最小二乘法求出y关于x的线性回归方程

(3)已知该厂技改前100吨甲产品的生产能耗为90吨标准煤,试根据(2)求出的线性回归方程,预测生产100吨甲产品的生产能耗比技改前降低多少吨标准煤?

 

 

 

试题详情

20.经市场调查,某种商品在过去50天的销售量和价格均为销售时间t (天)的函数,且销售量近似的满足f(t)= -2t+200 (1t50,tN),前30天价格为g(t)=t+30 (1t30,tN),后20天的价格为g(t)=45 (31t50,tN)

(1)写出该种商品的日销售额S与时间t的函数关系;

(2)求日销售额S的最大值.

试题详情

19.已知函数

(1)若的定义域为R,求实数的取值范围

(2)若的值域为R,求实数的取值范围

试题详情

18.(1)化简

(2)已知, 求的值。

试题详情

17.已知集合M=;N=, 满足:

M=,M=,求实数a,b的值

试题详情

16.若数列是等差数列,且b=则有数列也是等差数列,类比上述性质,相应地,若数列为等比数列且c>0 (n),则d=___________时,也是等比数列

试题详情

15.若复数(为虚数单位)是纯虚数,则实数的值为___________. 

试题详情

14.设, ,且,则          . 

试题详情


同步练习册答案