题目列表(包括答案和解析)

 0  52196  52204  52210  52214  52220  52222  52226  52232  52234  52240  52246  52250  52252  52256  52262  52264  52270  52274  52276  52280  52282  52286  52288  52290  52291  52292  52294  52295  52296  52298  52300  52304  52306  52310  52312  52316  52322  52324  52330  52334  52336  52340  52346  52352  52354  52360  52364  52366  52372  52376  52382  52390  447348 

3.(★★★★★)(4cosθ+3–2t)2+(3sinθ–1+2t)2,(θt为参数)的最大值是     .

试题详情

2.(★★★★★)已知f(x)=(xa)(xb)–2(其中ab,且αβ是方程f(x)=0的两根(αβ,则实数abαβ的大小关系为(   )

A.αabβ       B.αaβb

C.aαbβ       D.aαβb

试题详情

1.(★★★★)方程sin(x)=x的实数解的个数是(   )

A.2        B.3       C.4       D.以上均不对

试题详情

3.注意知识间的联系、综合与交汇,提倡一题多问,一题多解,多题一解,培养发散思维和归纳概括的习惯,重视数学思想方法在解综合题中的指导作用。

试题详情

2.加强作图能力的训练,解题先想图,以图助解题,养成数形结合的习惯;

试题详情

1.加强对数学概念的复习,深刻理解定义以及数、式的几何意义,真正夯实双基;

试题详情

2.解:,∵<0∴max=

>5,即-8<<0时,0<<- (如图1)

是方程x2+8x+3=5的较小根

≤5,即≤-8时,>- (如图2)

是方程x2+8x+3=-5的较大根,当且仅当=-8时等号成立,由于>

因此当且仅当=-8时,取最大值

点评:本题是典型的函数、方程、不等式的综合问题,数形结合利于开拓思路,找到解决办法。

试题详情

1.解:

它与椭圆在第一象限的部分(包括端点)有公共点,(如图)

相切于第一象限时,u取最大值

试题详情

6.证明:(I)因为f(0)>0,f(1)>0,所以c>0,3a+2b+c>0

由条件,消去,得

由条件,消去,得

(II)抛物线的顶点坐标为

的两边乘以,得

又因为

所以方程在区间内分别有一实根

故方程内有两个实根.

创新试题

试题详情

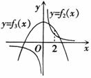
5.分析  用数形结合思想求f(x)-f(a)=0解的个数.

解  (1)由已知,设f1(x)=bx2,由f1(x)=1, 得b=1.∴f1(x)=x2

设f2(x)=(k>0),则其图象与直线y=x的交点分别为A(k,k),B(-k,-k),由|AB|=8,得k=8,

∴f2(x)=,故f(x)=x2+

(2)由f(x)=f(a),得x2+=a2+

=-x2+a2+

在同一坐标系内作出f2(x)=和f3(x)=-x2+a2+的大致图象(如图所示),其中f2(x)的图象是以坐标轴为渐近线,且位于第一、三象限的双曲线,f3(x)的图象是以(0,a2+)为顶点,开口向下的抛物线.f2(x)与f3(x)的图象在第三象限有一个交点,即f(x)=f(a)有一个负数解.

又∵f2(2)=4,f3(2)=-4+a2+,当a>3时,

f3(2)-f2(2)=a2+-8>0,

∴当a>3时,在f3(x)第一象限的图象上存在一点(2,f3(2))在f2(x)图象的上方.

∴f2(x)与f3(x)的图象在第一象限有两个交点,即f(x)=f(a)有两个正数解.

故方程f(x)=f(a)有三个实数解.

试题详情


同步练习册答案