题目列表(包括答案和解析)

 0  54377  54385  54391  54395  54401  54403  54407  54413  54415  54421  54427  54431  54433  54437  54443  54445  54451  54455  54457  54461  54463  54467  54469  54471  54472  54473  54475  54476  54477  54479  54481  54485  54487  54491  54493  54497  54503  54505  54511  54515  54517  54521  54527  54533  54535  54541  54545  54547  54553  54557  54563  54571  447348 

20. 解(Ⅰ)

,得或2.

∵函数有极大值32,

 时取得极大值.  解得

时,时,

时,有极大值32. 时函数有极大值32. ……7分

(Ⅱ)由

 ∴函数的单调增区间是(-;单调减区间是(

试题详情

20.(本题满分12分)已知实数a≠0,函数有极大值32.

(1)求实数的值;

(2)求函数的单调区间.

试题详情

22.(14分)已知数列的前项和满足

     (1)写出数列的前三项

     (2)求数列的通项公式;

     (3)证明:对任意的整数,有

试题详情

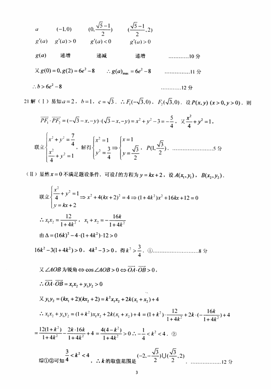
21.(12分)已知分别是椭圆的左、右焦点。

     (I)若P是第一象限内该椭圆上的一点,,求点P的坐标;

     (II)设过定点M(0,2)的直线与椭圆交于同的两点A、B,且为锐角(其中O伟坐标原点),求直线的斜率的取值范围。高☆考♂资♀源?网   ☆

试题详情

20.(12分)已知

     (I)若,求的单调区间和极值;

     (II)已知的两个不同的极值点,且,若

     恒成立,求实数b的取值范围。

试题详情

22.(本小题满分14分)

(文科)在数列

(1)求证:数列为等差数列;

(2)若m为正整数,当

解:(I)由变形得:

故数列是以为首项,1为公差的等差数列         (5分)

  (II)(法一)由(I)得

(7分)

为递减数列。

当m=n时,

递减数列。                            (9分)

要证:时,

故原不等式成立。                                             (14分)

(法二)由(I)得

   (7分)

上单调递减。(9分)

也即证

故原不等式成立。                                             (14分)

(理科)已知数列中,,当时,其前项和满足

(1)    求的表达式及的值;

(2)    求数列的通项公式;

(3)    设,求证:当时,

解:(1)

所以是等差数列。则

(2)当时,,综上,

(3)令,当时,有     (1)

法1:等价于求证

时,

,则递增。

,所以

法(2)

               (2)

     (3)

所以

由(1)(3)(4)知

法3:令,则

所以

  

所以   (5)   由(1)(2)(5)知

试题详情

21.(本小题满分12分)

(文科)已知函数的图象关于原点对称,且

  (Ⅰ)求函数的解析式;

  (Ⅱ)解不等式

  (Ⅲ)若上是增函数,求实数的取值范围.

解:(Ⅰ)设函数的图象上任意一点关于原点的对称点为,则

∵点在函数的图象上

(Ⅱ)由

时,,此时不等式无解。

时,,解得

因此,原不等式的解集为

(Ⅲ)

  

ⅰ)

ⅱ)   

(理科)设函数上是增函数。

(1)    求正实数的取值范围;

(2)    设,求证:

解:(1)恒成立,

恒成立   又  为所求。…………5分

(2)取

一方面,由(1)知上是增函数,

……………………………………8分

另一方面,设函数 

上是增函数且在处连续,又

∴当时,

    即

综上所述,………………………………………………12分

试题详情

20.(本小题满分12分)

已知抛物线经过点A(2,1),过A作倾斜角互补的两条不同直线.

(Ⅰ)求抛物线的方程及准线方程;

(Ⅱ)当直线与抛物线相切时,求直线的方程

(Ⅲ)设直线分别交抛物线BC两点(均不与A重合),若以线段BC为直径的圆与抛物线的准线相切,求直线BC的方程.

解:(Ⅰ)由于A(2,1)在抛物线上, 所以  ,即.  ………….2分

   故所求抛物线的方程为,其准线方程为.   ……………….3分

(Ⅱ)当直线与抛物线相切时,由,可知直线的斜率为1,其倾斜角为,所以直线的倾斜角为,故直线的斜率为,所以的方程为  …6分

(Ⅲ)不妨设直线AB的方程为,   ………………8分

  由    得,……….10分

 易知该方程有一个根为2,所以另一个根为

 所以点B的坐标为,

同理可得C点坐标为,  ……………….11分

所以

,                ……………….9分

线段BC的中点为,因为以BC为直径的圆与准线相切,

所以  ,由于,  解得  .  …………….10分

此时,点B的坐标为,点C的坐标为

 直线BC的斜率为

所以,BC的方程为,即.  …….12分

试题详情

21.(本小题满分14分)

已知数列各项均不为0,其前项和为,且对任意都有(为大于1的常数),记

(1) 求

(2) 试比较的大小();

(3) 求证:,().

解:(1) ∵,               ①

.            ②

②-①,得

.                                                        (3分)

在①中令,可得

是首项为,公比为的等比数列,.            (4分)

(2) 由(1)可得

,              (5分)

,且

,().                                  (8分)

(3) 由(2)知 ,().

∴当时,

,                (10分)

(当且仅当时取等号).

另一方面,当时,

,∴

,                       (13分)

(当且仅当时取等号).

(当且仅当时取等号).

综上所述,,().(14分)

(19)(本小题满分13分)

   如图,已知双曲线C:的右准线与一条渐近线交于点M,F是双曲线C的右焦点,O为坐标原点。

   (I)求证:

   (II)若且双曲线C的离心率,求双曲线C的方程;

   (III)在(II)的条件下,直线过点A(0,1)与双曲线C右支交于不同的两点P、Q且P在A、Q之间,满足,试判断的范围,并用代数方法给出证明。

解:(I)

   右准线,渐近线

  

  

  

               ……3分

   (II)

  

   双曲线C的方程为:                   ……7分

   (III)由题意可得                           ……8分

   证明:设,点

   由

   与双曲线C右支交于不同的两点P、Q

  

                                  ……11分

   ,得

  

  

  

的取值范围是(0,1)                           ……13分

  (20)(本小题满分13分)

   已知函数,数列满足

   (I)求数列的通项公式;

   (II)设x轴、直线与函数的图象所围成的封闭图形的面积为,求

   (III)在集合,且中,是否存在正整数N,使得不等式对一切恒成立?若存在,则这样的正整数N共有多少个?并求出满足条件的最小的正整数N;若不存在,请说明理由。

   (IV)请构造一个与有关的数列,使得存在,并求出这个极限值。

解:(I)

  

                               ……1分

  

   ……

  

   将这n个式子相加,得

  

  

                             ……3分

   (II)为一直角梯形(时为直角三角形)的面积,该梯形的两底边的长分别为,高为1

  

                          ……6分

   (III)设满足条件的正整数N存在,则

  

   又

   均满足条件

   它们构成首项为2010,公差为2的等差数列。

   设共有m个满足条件的正整数N,则,解得

   中满足条件的正整数N存在,共有495个,       ……9分

   (IV)设,即

   则

   显然,其极限存在,并且     ……10分

   注:(c为非零常数),等都能使存在。

试题详情

20.(本小题满分12分)

如图,直角坐标系中,一直角三角形轴上且关于原点对称,在边上,的周长为12.若一双曲线为焦点,且经过两点.

(1) 求双曲线的方程;

(2) 若一过点(为非零常数)的直线与双曲线相交于不同于双曲线顶点的两点,且,问在轴上是否存在定点,使?若存在,求出所有这样定点的坐标;若不存在,请说明理由.

解:(1) 设双曲线的方程为

,得,即

                 (3分)

解之得,∴

∴双曲线的方程为.    (5分)

(2) 设在轴上存在定点,使

设直线的方程为

,得

                      ①        (6分)

.   ②        (8分)

把①代入②,得

    ③        (9分)

代入并整理得

其中,即

  .                                 (10分)

代入③,得

 

化简得

时,上式恒成立.

因此,在轴上存在定点,使.           (12分)

试题详情


同步练习册答案