题目列表(包括答案和解析)

 0  54428  54436  54442  54446  54452  54454  54458  54464  54466  54472  54478  54482  54484  54488  54494  54496  54502  54506  54508  54512  54514  54518  54520  54522  54523  54524  54526  54527  54528  54530  54532  54536  54538  54542  54544  54548  54554  54556  54562  54566  54568  54572  54578  54584  54586  54592  54596  54598  54604  54608  54614  54622  447348 

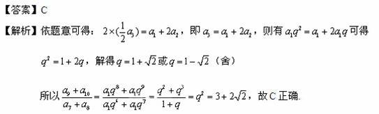
7.(2010湖北文数)已知等比数列{}中,各项都是正数,且成等差数列,则

A.        B.           C.          D

(2010山东理数)

试题详情

4.A[命题意图]本小题主要考查等比数列的性质、指数幂的运算、根式与指数式的互化等知识,着重考查了转化与化归的数学思想.

 [解析]由等比数列的性质知10,所以,

所以

(2010全国卷1理数)(4)已知各项均为正数的等比数列{}中,=5,=10,则=

 (A)   (B) 7   (C) 6    (D)

试题详情

4.C.设{}的公比为,则由等比数列的性质知,,即。由与2的等差中项为知,,即

  ∴,即,即.[来源:K

(2010广东文数)

(2010全国卷1文数)(4)已知各项均为正数的等比数列{},=5,=10,则=

(A)   (B) 7   (C) 6    (D)

试题详情

4.(2010广东理数) 已知为等比数列,Sn是它的前n项和。若, 且与2的等差中项为,则=w_w w.k*s_

A.35       B.33     C.31      D.29

试题详情

5.A

[解析].

[方法技巧]直接根据即可得出结论.

(2010重庆文数)(2)在等差数列中,,则的值为

(A)5                     (B)6

(C)8                     (D)10

解析:由角标性质得,所以=5

(2010浙江文数)(5)设为等比数列的前n项和,

(A)-11                 (B)-8

(C)5                 (D)11

解析:通过,设公比为,将该式转化为,解得=-2,带入所求式可知答案选A,本题主要考察了本题主要考察了等比数列的通项公式与前n项和公式

(2010重庆理数)(1)在等比数列中, ,则公比q的值为

A. 2   B. 3    C. 4    D. 8 

解析: 

(2010北京理数)(2)在等比数列中,,公比.若,则m=

(A)9     (B)10     (C)11     (D)12

答案:C

(2010四川理数)(8)已知数列的首项,其前项的和为,且,则

(A)0     (B)     (C) 1     (D)2

解析:由,且 w_w_w.k*s 5*

作差得an+2=2an+1

S2=2S1+a1,即a2+a1=2a1+a1  Þ  a2=2a1w_w w. k#s5_

故{an}是公比为2的等比数列

Sna1+2a1+22a1+……+2n1a1=(2n-1)a1

答案:B

(2010天津理数)(6)已知是首项为1的等比数列,的前n项和,且,则数列的前5项和为

(A)或5   (B)或5  (C)     (D)

[答案]C

[解析]本题主要考查等比数列前n项和公式及等比数列的性质,属于中等题。

显然q1,所以,所以是首项为1,公比为的等比数列, 前5项和.

[温馨提示]在进行等比数列运算时要注意约分,降低幂的次数,同时也要注意基本量法的应用。

试题详情

4.(2010江西理数) (  )

A.   B.    C. 2   D. 不存在

[答案]B

[解析]考查等比数列求和与极限知识.解法一:先求和,然后对和取极限。

(2010安徽文数)(5)设数列的前n项和,则的值为

(A) 15        (B)  16     (C)  49     (D)64

试题详情

5.(2010江西理数)等比数列中,=4,函数,则(  )

A.    B.    C.    D.

[答案]C

[解析]考查多项式函数的导数公式,重点考查学生创新意识,综合与灵活地应用所学的数学知识、思想和方法。考虑到求导中,含有x项均取0,则只与函数的一次项有关;得:

试题详情

2. (2010湖北理数)5.已知和点M满足.若存在实数m使得成立,则m=

A.2     B.3     C.4     D.5

试题详情

1.(2010年安徽理数)

试题详情

4、(2010湖南理数)在中,=90°AC=4,则等于

A、-16       B、-8         C、8         D、16

试题详情


同步练习册答案