题目列表(包括答案和解析)

 0  54429  54437  54443  54447  54453  54455  54459  54465  54467  54473  54479  54483  54485  54489  54495  54497  54503  54507  54509  54513  54515  54519  54521  54523  54524  54525  54527  54528  54529  54531  54533  54537  54539  54543  54545  54549  54555  54557  54563  54567  54569  54573  54579  54585  54587  54593  54597  54599  54605  54609  54615  54623  447348 

2.(2010湖北文数)函数f(x)= 的最小正周期为

A.               B.x            C.2              D.4

[答案]D

[解析]由T=||=4π,故D正确.

试题详情

1.C[命题意图]本小题主要考查诱导公式、特殊三角函数值等三角函数知识

[解析]

(2010全国卷1理数)(2)记,那么

A.    B. -   C.   D. -

(2010四川文数)(7)将函数的图像上所有的点向右平行移动个单位长度,再把所得各点的横坐标伸长到原来的2倍(纵坐标不变),所得图像的函数解析式是高^考#资*源^网

(A)    (B)

(C)    (D)

解析:将函数的图像上所有的点向右平行移动个单位长度,所得函数图象的解析式为ysin(x)w_w w. k#s5_

   再把所得各点的横坐标伸长到原来的2倍(纵坐标不变),所得图像的函数解析式是.

答案:C

试题详情

2.(2010福建文数)计算的结果等于(   )

A.         B.        C.          D.

[答案]B

[解析]原式=,故选B.

[命题意图]本题三角变换中的二倍角公式,考查特殊角的三角函数值

(2010全国卷1文数) (1)

(A)    (B)-   (C)   (D)

试题详情

7.(2010江西理数)E,F是等腰直角△ABC斜边AB上的三等分点,则(  )

A.    B.    C.    D.

[答案]D

[解析]考查三角函数的计算、解析化应用意识。

解法1:约定AB=6,AC=BC=,由余弦定理CE=CF=,再由余弦定理得

解得

解法2:坐标化。约定AB=6,AC=BC=,F(1,0),E(-1,0),C(0,3)利用向量的夹角公式得

,解得

(2010重庆文数)(6)下列函数中,周期为,且在上为减函数的是

(A)              (B)

(C)              (D)

解析:C、D中函数周期为2,所以错误

   当时,,函数为减函数

而函数为增函数,所以选A

(2010重庆理数)

(6)已知函数的部分图象如题(6)图所示,则

A.  =1 =   B. =1  =-   C. =2  =  D. =2  = -

解析: 由五点作图法知= -

(2010山东文数)(10)观察,由归纳推理可得:若定义在上的函数满足,记的导函数,则=

(A)    (B)        (C)     (D)

答案:D

(2010北京文数)(7)某班设计了一个八边形的班徽(如图),它由腰长为1,

顶角为的四个等腰三角形,及其底边构成的正方形所组成,

该八边形的面积为

(A); (B)

(C);  (D)

答案:A

(2010四川理数)(6)将函数的图像上所有的点向右平行移动个单位长度,再把所得各点的横坐标伸长到原来的2倍(纵坐标不变),所得图像的函数解析式是w_w w. k#s5_

(A)      (B) w_w_w.k*s 5*

(C)      (D)

解析:将函数的图像上所有的点向右平行移动个单位长度,所得函数图象的解析式为ysin(x) w_w_w.k*s 5*

   再把所得各点的横坐标伸长到原来的2倍(纵坐标不变),所得图像的函数解析式是.

答案:C

(2010天津文数)(8)

为了得到这个函数的图象,只要将的图象上所有的点

(A)向左平移个单位长度,再把所得各点的横坐标缩短到原来的倍,纵坐标不变

(B) 向左平移个单位长度,再把所得各点的横坐标伸长到原来的2倍,纵坐标不变

(C) 向左平移个单位长度,再把所得各点的横坐标缩短到原来的倍,纵坐标不变

(D) 向左平移个单位长度,再把所得各点的横坐标伸长到原来的2倍,纵坐标不变

[答案]A

[解析]本题主要考查三角函数的图像与图像变换的基础知识,属于中等题。

由图像可知函数的周期为,振幅为1,所以函数的表达式可以是y=sin(2x+).代入(-,0)可得的一个值为,故图像中函数的一个表达式是y=sin(2x+),即y=sin2(x+ ),所以只需将y=sinx(x∈R)的图像上所有的点向左平移个单位长度,再把所得各点的横坐标缩短到原来的倍,纵坐标不变。

[温馨提示]根据图像求函数的表达式时,一般先求周期、振幅,最后求。三角函数图像进行平移变换时注意提取x的系数,进行周期变换时,需要将x的系数变为原来的

(2010天津理数)(7)在△ABC中,内角A,B,C的对边分别是a,b,c,若,则A=

(A)   (B)    (C)   (D)

[答案]A

[解析]本题主要考查正弦定理与余弦定理的基本应用,属于中等题。

由由正弦定理得

所以cosA==,所以A=300

[温馨提示]解三角形的基本思路是利用正弦、余弦定理将边化为角运算或将角化为边运算。

(2010福建文数)

试题详情

3.(2010陕西文数)函数f (x)=2sinxcosx是                    [C]

(A)最小正周期为2π的奇函数          (B)最小正周期为2π的偶函数

(C)最小正周期为π的奇函数          (D)最小正周期为π的偶函数

解析:本题考查三角函数的性质

f (x)=2sinxcosx=sin2x,周期为π的奇函数

(2010辽宁文数)(6)设,函数的图像向右平移个单位后与原图像重合,则的最小值是

(A)    (B)     (C)   (D) 3

解析:选C.由已知,周期

(2010辽宁理数)(5)设>0,函数y=sin(x+)+2的图像向右平移个单位后与原图像重合,则的最小值是

(A)   (B)  (C)   (D)3

[答案]C

[命题立意]本题考查了三角函数图像的平移变换与三角函数的周期性,考查了同学们对知识灵活掌握的程度。

[解析]将y=sin(x+)+2的图像向右平移个单位后为,所以有=2k,即,又因为,所以k≥1,故,所以选C

(2010全国卷2文数)(3)已知,则

   (A)(B)(C)(D)

[解析]B:本题考查了二倍角公式及诱导公式,∵ sina=2/3,

试题详情

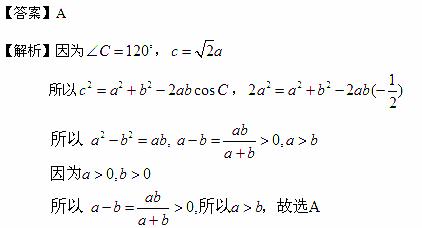
7.(2010湖南文数)在△ABC中,角A,B,C所对的边长分别为a,b,c,若∠C=120°,c=a,则

A.a>b       B.a<b

C. a=b       D.a与b的大小关系不能确定

[命题意图]本题考查余弦定理,特殊角的三角函数值,不等式的性质,比较法,属中档题。

(2010浙江理数)(9)设函数,则在下列区间中函数存在零点的是

(A)    (B)   (C)    (D)

解析:将的零点转化为函数的交点,数形结合可知答案选A,本题主要考察了三角函数图像的平移和函数与方程的相关知识点,突出了对转化思想和数形结合思想的考察,对能力要求较高,属较难题

(2010浙江理数)(4)设,则“”是“”的

(A)充分而不必要条件        (B)必要而不充分条件

(C)充分必要条件          (D)既不充分也不必要条件

解析:因为0<x<,所以sinx<1,故xsin2x<xsinx,结合xsin2x与xsinx的取值范围相同,可知答案选B,本题主要考察了必要条件、充分条件与充要条件的意义,以及转化思想和处理不等关系的能力,属中档题

(2010全国卷2理数)(7)为了得到函数的图像,只需把函数的图像

(A)向左平移个长度单位        (B)向右平移个长度单位

(C)向左平移个长度单位        (D)向右平移个长度单位

[答案]B

[命题意图]本试题主要考查三角函数图像的平移.

[解析]==,所以将的图像向右平移个长度单位得到的图像,故选B.

试题详情

18.(2010上海文数)若△的三个内角满足,则△

(A)一定是锐角三角形.     (B)一定是直角三角形.

(C)一定是钝角三角形.      (D)可能是锐角三角形,也可能是钝角三角形.

解析:由及正弦定理得a:b:c=5:11:13

    由余弦定理得,所以角C为钝角

试题详情

3.(2010福建理数)设等差数列的前n项和为,若,,则当取最小值时,n等于

A.6          B.7         C.8         D.9

[答案]A

[解析]设该数列的公差为,则,解得

所以,所以当时,取最小值。

[命题意图]本题考查等差数列的通项公式以及前n项和公式的应用,考查二次函数最值的求法及计算能力。

试题详情

10.D

[分析]取等比数列,令代入验算,只有选项D满足。

[方法技巧]对于含有较多字母的客观题,可以取满足条件的数字代替字母,代入验证,若能排除3个选项,剩下唯一正确的就一定正确;若不能完全排除,可以取其他数字验证继续排除.本题也可以首项、公比即项数n表示代入验证得结论.

(2010湖北理数)7、如图,在半径为r 的园内作内接正六边形,再作正六边形的内切圆,又在此内切圆内作内接正六边形,如此无限继续下去,设为前n个圆的面积之和,则= 

A. 2   B.    C.4   D.6

试题详情

1.(2010安徽理数)10、设是任意等比数列,它的前项和,前项和与前项和分别为,则下列等式中恒成立的是

A、                     B、

C、                       D、

试题详情


同步练习册答案