题目列表(包括答案和解析)

 0  54397  54405  54411  54415  54421  54423  54427  54433  54435  54441  54447  54451  54453  54457  54463  54465  54471  54475  54477  54481  54483  54487  54489  54491  54492  54493  54495  54496  54497  54499  54501  54505  54507  54511  54513  54517  54523  54525  54531  54535  54537  54541  54547  54553  54555  54561  54565  54567  54573  54577  54583  54591  447348 

(A)   (B)   (C)   (D)

(2)不等式<0的解集为

(A)   (B)   (C)  (D)

(3)已知,则

   (A)(B)(C)(D)

(4)函数y=1+(x-1)(x>1)的反函数是

(A)y=-1(x>0)   (B) )y=+1(x>0) 

(C)  y=-1(x R)   (D)y=+1 (x R)

(5)若变量x,y满足约束条件 则z=2x+y的最大值为

(A)1      (B)2    (C)3     (D)4

(6)如果等差数列中,++=12,那么++•••…+=

(A)14   (B) 21    (C) 28     (D) 35

(7)若曲线在点处的切线方程是,则

(A)           (B)

(C)           (D)

(8)已知三棱锥中,底面为边长等于2的等边三角形,垂直于底面=3,那么直线与平面所成角的正弦值为

(A)            (B)

(C)             (D)

(9)将标号为1,2,3,4,5,6的6张卡片放入3个不同的信封中,若每个信封放2张,其中标号为1,2的卡片放入同一信封,则不同的方法共有

(A) 12种    (B) 18种    (C) 36种     (D) 54种

(10)△ABC中,点D在边AB上,CD平分∠ACB,若= a , = b , = 1 ,

= 2, 则=

(A)a + b   (B)a +b     (C)a +b   (D)a +b

(11)与正方体ABCD-A1B1C1D1的三条棱AB、CC1、A1D1所在直线的距离相等的点

(A)有且只有1个           (B)有且只有2个

(C)有且只有3个           (D)有无数个

(12)已知椭圆C:(a>b>0)的离心率为,过右焦点F且斜率为k(k>0)的直线于C相交于A、B两点,若。则k =

(A)1   (B)    (C)    (D)2

(13)已知α是第二象限的角,tanα=1/2,则cosα=__________

(14)(x+1/x)9的展开式中,x3的系数是_________

(15)已知抛物线C:y2=2px(p>0)的准线l,过M(1,0)且斜率为的直线与l相交于A,与C的一个交点为B,若,则p=_________

(16)已知球的半径为4,圆与圆为该球的两个小圆,为圆与圆的公共弦,,若,则两圆圆心的距离      

试题详情

(18)(本题满分14分)在中,角A,B,C所对的边分别为a,b,c,已知cos2C= -

(Ⅰ)求sinC的值;

(Ⅱ)当a=2,2sinA=sinC,求b及c的长。

(19)(本题满分14分)如图,一个小球从M处投入,通过管道自上而下落到A或B或C。已知小球从每个叉口落入左右两个管道的可能性是相等的。

某商家按上述投球方式进行促销活动,若投入的小球落到A,B,C,则分别设为1,2,3等奖。

(Ⅰ)已知获得1,2,3等奖的折扣率分别为50%,70%,90%。记随机变量ξ 为获得k(k=1,2,3)等奖的折扣率,求随机变量ξ 的分布列及期望Eξ ;

(Ⅱ)若有3人次(投入1球为1人次)参加促销活动,记随机变量 η为获得1等奖或2等奖的人次,求P(  η =2). 

(20)(本题满分15分)如图,在矩形ABCD中,点E,F分别在线段AB,AD上,AE =EB=AF= FD=4。沿直线EF将AEF翻着成AEF,使平面AEF平面BEF。

(Ⅰ)求二面角A-FD-C的余弦值;

(Ⅱ)点M,N分别在线段FD,BC上,若沿直线MN将四边形MNCD向上翻着,使C与A重合,求线段FM的长。

(21)(本小题满分15分)已知m>1,直线l:x-my-2=0,

椭圆C:()2+y2=4  ,F1,,F2分别为椭圆C的左右焦点。

(Ⅰ)当直线l过右焦点F2时,求直线l的方程;

(Ⅱ)设直线l与椭圆C交与A,B两点,AF1F2, BF1F2的重心分别为G,H.若原点O在以线段GH为直径的的圆内,求实数m的取值范围。

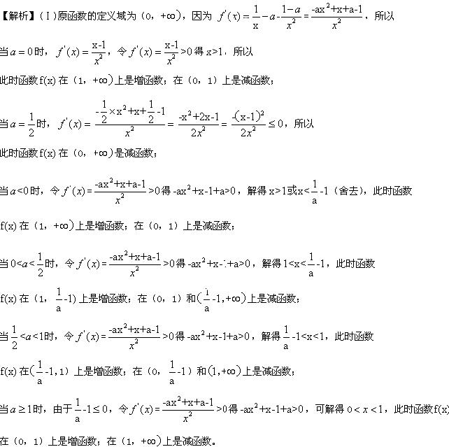
(22)(本题满分14分)已知 a是给定的实常数,设函数f(x)=(x-a2)(x+b)eX,b∈ R,x=a是f(x)的一个极大值点。

(1)求b的取值范围;

(2)设x1 ,x2 ,x3 是f(x)的3个极致点,问是否存在实数b,可找到x4∈ R  ,使得 x1 ,x2 ,x3, x4的某种排列 , (其中{i1, i 2,I3, i 4}={1,2,3,4})依次成等差数列?若存在,求所有的b及相应的 x4;若不存在,说明理由。

试题详情

(11)函数f(x)=sin(2 x)-2sin2 x

的最小正周期是________.

(12)若某几何体的正视图(单位:cm)如图所示,

则此几何体的体积是_______cm3.

(13)设抛物线y2=2px(p>0)的焦点为F

A(0,2). 若线段FA的中点B在抛物线上,

B到该抛物线准线的距离为________.

(14)设n≥ 2,n,(2 x+)(3x+)= a+ a x2+…+ a xn,

将∣a∣(0≤kn)的最小值记为,则=0,==0,=,…,…

=_______.

(15)设a1,d为实数,首项为a1,公差为d的等差数列{an }的前n项和为Sn,满足S5S6+15=0,则d的取值范围是       。

(16)已知平面向量α,β (α≠ 0,αβ )满足|β |=1,且αβ- α的夹角为120°,则|a| 的取值范围是      

(17)有4位同学在同一天的上、下午参加“身高与体重”、“立定跳远”、“肺活量”、“握力”、“台阶”五个项目的测试,每位同学上、下午各测试一个项目,且不重复。若上午不测“握力”项目,下午不测“台阶”项目,其余项目上下午都各测试一人,则不同的安排方式共有

     种(用数字作答)。

试题详情

(1)    设P={x |x<4},Q={x |x2<4},则

(A)           (B)

 (C)           (D)

(2)某程序框图如图所示,若输出的S=57,则判断框内为

(A)k>4?            (B)k>5?

(C)  k>6?             (D)  k>7?

(3)设Sn 为等比数列{an}的前n项和,8a2+ a5=0, 则S5/S2=

(A)11    (B)5     (C)-8    (D)-11

(4)

(A)充分而不必要条件   (B)必要而不充分条件  

(C)充分必要条件     (D)既不充分也不必要条件

(5)对任意复数z=x+yi  (x,y∈R ),i为虚数单位,则下列结论正确的是

(6)设m,l是两条不同的直线,α是一个平面,则下列命题正确的是

(7)若实数满足不等式组,且的最大值为9,则实数m、n

(A)-2     (B) -1    (C)1    (D)2

(8)设,分别为双曲线的左,右焦点。若在双曲线右支上存在点,满足=,且到直线的距离等于双曲线的实轴长,则该双曲线的渐近方程为

  (A)     (B)    

  (C)     (D)

(9)设函数则在下列区间中函数不存在零点的是

    (A)   (B)     

(C)    (D)

(10)设函数的集合

          

平面上点的集合

        则在同一直角坐标系中,中函数的图像恰好经过Q中两个点的函数的个数是 

      (A)4     (B) 6    (C)8    (D)10

试题详情

(13)执行右图所示的程序框图,若输入,则输出的值为      

[答案]

[解析]当x=10时,y=,此时|y-x|=6;

当x=4时,y=,此时|y-x|=3;当x=1时,y=,此时|y-x|=

当x=时,y=,此时|y-x|=,故输出y的值为

[命题意图]本题考查程序框图的基础知识,考查了同学们的试图能力。

[答案]

[解析]由题意,设所求的直线方程为,设圆心坐标为,则由题意知:

,解得或-1,又因为圆心在x轴的正半轴上,所以,故圆心坐标为(3,0),因为圆心(3,0)在所求的直线上,所以有,即,故所求的直线方程为

[命题意图]本题考查了直线的方程、点到直线的距离、直线与圆的关系,考查了同学们解决直线与圆问题的能力。

(18)(本小题满分12分)

已知等差数列满足:的前n项和为

(Ⅰ)求

(Ⅱ)令bn=(nN*),求数列的前n项和

[解析](Ⅰ)设等差数列的公差为d,因为,所以有

,解得

所以==

(Ⅱ)由(Ⅰ)知,所以bn===

所以==

即数列的前n项和=

[命题意图]本题考查等差数列的通项公式与前n项和公式的应用、裂项法求数列的和,熟练数列的基础知识是解答好本类题目的关键。

(19)(本小题满分12分)

如图,在五棱锥P-ABCDE中,PA⊥平面ABCDEABCDACEDAEBCABC=45°,AB=2BC=2AE=4,三角形PAB是等腰三角形.

(Ⅰ)求证:平面PCD⊥平面PAC

(Ⅱ)求直线PB与平面PCD所成角的大小;

(Ⅲ)求四棱锥P-ACDE的体积.

[解析](Ⅰ)证明:因为ABC=45°,AB=2BC=4,所以在中,由余弦定理得:,解得

所以,即,又PA⊥平面ABCDE,所以PA

又PA,所以,又ABCD,所以,又因为

,所以平面PCD⊥平面PAC

(Ⅱ)由(Ⅰ)知平面PCD⊥平面PAC所以在平面PAC内,过点A作于H,则

,又ABCDAB平面内,所以AB平行于平面,所以点A到平面的距离等于点B到平面的距离,过点B作BO⊥平面于点O,则为所求角,且,又容易求得,所以,即=,所以直线PB与平面PCD所成角的大小为

(Ⅲ)由(Ⅰ)知,所以,又ACED,所以四边形ACDE是直角梯形,又容易求得,AC=,所以四边形ACDE的面积为,所以四棱锥P-ACDE的体积为=

=

所以的分布列为


2
3
4




数学期望=++4=

[命题意图]本题考查了相互独立事件同时发生的概率、考查了离散型随机变量的分布列以及数学期望的知识,考查了同学们利用所学知识解决实际问题的能力。

(21)(本小题满分12分)

如图,已知椭圆的离心率为,以该椭圆上的点和椭圆的左、右焦点为顶点的三角形的周长为.一等轴双曲线的顶点是该椭圆的焦点,设为该双曲线上异于顶点的任一点,直线与椭圆的交点分别为.

(Ⅰ)求椭圆和双曲线的标准方程;

(Ⅱ)设直线的斜率分别为,证明

(Ⅲ)是否存在常数,使得恒成立?若存在,求的值;若不存在,请说明理由.

[解析](Ⅰ)由题意知,椭圆离心率为,得,又,所以可解得,所以,所以椭圆的标准方程为;所以椭圆的焦点坐标为(,0),因为双曲线为等轴双曲线,且顶点是该椭圆的焦点,所以该双曲线的标准方程为

[命题意图]本题考查了椭圆的定义、离心率、椭圆与双曲线的标准方程、直线与圆锥曲线的位置关系,是一道综合性的试题,考查了学生综合运用知识解决问题的能力。其中问题(3)是一个开放性问题,考查了同学们观察、推理以及创造性地分析问题、解决问题的能力,

(22)(本小题满分14分)

已知函数.

(Ⅰ)当时,讨论的单调性;

(Ⅱ)设时,若对任意,存在,使

,求实数取值范围.

(Ⅱ)当时,在(0,1)上是减函数,在(1,2)上是增函数,所以对任意

,又已知存在,使,所以

即存在,使,即,即

所以,解得,即实数取值范围是

[命题意图]本题将导数、二次函数、不等式知识有机的结合在一起,考查了利用导数研究函数的单调性、利用导数求函数的最值以及二次函数的最值问题,考查了同学们分类讨论的数学思想以及解不等式的能力;考查了学生综合运用所学知识分析问题、解决问题的能力。

(1)直接利用函数与导数的关系讨论函数的单调性;(2)利用导数求出的最小值、利用二次函数知识或分离常数法求出在闭区间[1,2]上的最大值,然后解不等式求参数。

试题详情

有一项是满足题目要求的.

(1)    已知全集U=R,集合M={x||x-1|2},则

(A){x|-1<x<3}   (B){x|-1x3}  (C){x|x<-1或x>3}  (D){x|x-1或x3}

[答案]C

[解析]因为集合,全集,所以

[命题意图]本题考查集合的补集运算,属容易题.

 (2)  已知(a,b∈R),其中i为虚数单位,则a+b=

(A)-1   (B)1  (C)2   (D)3

[答案]B

[解析]由,所以由复数相等的意义知,所以1,故选B.

[命题意图]本题考查复数相等的意义、复数的基本运算,属保分题。

 (3)在空间,下列命题正确的是

(A)平行直线的平行投影重合

(B)平行于同一直线的两个平面平行

(C)垂直于同一平面的两个平面平行

(D)垂直于同一平面的两条直线平行

[答案]D

[解析]由空间直线与平面的位置关系及线面垂直与平行的判定与性质定理可以得出答案。

[命题意图]考查空间直线与平面的位置关系及线面垂直与平行的判定与性质,属基础题。

(4)设f(x)为定义在R上的奇函数,当x≥0时,f(x)=+2x+b(b为常数),则f(-1)=

(A) 3       (B) 1        (C)-1         (D)-3

[答案]D

(7)由曲线y=,y=围成的封闭图形面积为

(A)               (B)            (C)             (D)

[答案]A

[解析]由题意得:所求封闭图形的面积为,故选A。

[命题意图]本题考查定积分的基础知识,由定积分求曲线围成封闭图形的面积。

(8)某台小型晚会由6个节目组成,演出顺序有如下要求:节目甲必须排在第四位、节目乙不能排在第一位,节目丙必须排在最后一位,该台晚会节目演出顺序的编排方案共有

(A)36种             (B)42种          (C)48种        (D)54种

[答案]B

可知当直线平移到点(5,3)时,目标函数取得最大值3;当直线平移到点(3,5)时,目标函数取得最小值-11,故选A。

[命题意图]本题考查不等式中的线性规划知识,画出平面区域与正确理解目标函数的几何意义是解答好本题的关键。

 (11)函数y=2x -的图像大致是

[答案]A

[解析]因为当x=2或4时,2x -=0,所以排除B、C;当x=-2时,2x -=,故排除D,所以选A。

[命题意图]本题考查函数的图象,考查同学们对函数基础知识的把握程度以及数形结合的思维能力。

 (12)定义平面向量之间的一种运算“”如下,对任意的,令

,下面说法错误的是(   )

A.若共线,则          B.   

C.对任意的,有    D.   

[答案]B

[解析]若共线,则有,故A正确;因为,而

,所以有,故选项B错误,故选B。

[命题意图]本题在平面向量的基础上,加以创新,属创新题型,考查平面向量的基础知识以及分析问题、解决问题的能力。

试题详情

18. [命题意图]本题主要考查等可能性事件、互斥事件、独立事件、相互独立试验、分布列、数学期望等知识,以及运用概率知识解决实际问题的能力,考查分类与整合思想、化归与转化思想.

(19)(本小题满分12分)(注意:在试题卷上作答无效)

如图,四棱锥S-ABCD中,SD底面ABCD,AB//DC,ADDC,AB=AD=1,DC=SD=2,E为棱SB上的一点,平面EDC平面SBC .

(Ⅰ)证明:SE=2EB;

(Ⅱ)求二面角A-DE-C的大小 .

[命题意图]本小题主要考查空间直线与直线、直线与平面、平面与平面的位置关系,二面角等基础知识,考查空间想象能力、推理论证能力和运算能力.

 (20)(本小题满分12分)(注意:在试题卷上作答无效)

已知函数.

(Ⅰ)若,求的取值范围;

(Ⅱ)证明: .

[命题意图]本小题主要考查函数、导数、不等式证明等知识,通过运用导数知识解决函数、不等式问题,考查了考生综合运用数学知识解决问题的能力以及计算能力,同时也考查了函数与方程思想、化归与转化思想.

(21)(本小题满分12分)(注意:在试题卷上作答无效)

已知抛物线的焦点为F,过点的直线相交于两点,点A关于轴的对称点为D .

(Ⅰ)证明:点F在直线BD上;

(Ⅱ)设,求的内切圆M的方程 .

[命题意图]本小题为解析几何与平面向量综合的问题,主要考查抛物线的性质、直线与圆的位置关系,直线与抛物线的位置关系、圆的几何性质与圆的方程的求解、平面向量的数量积等知识,考查考生综合运用数学知识进行推理论证的能力、运算能力和解决问题的能力,同时考查了数形结合思想、设而不求思想..

(22)(本小题满分12分)(注意:在试题卷上作答无效)

已知数列中, .

(Ⅰ)设,求数列的通项公式;

(Ⅱ)求使不等式成立的的取值范围 .

[命题意图]本小题主要考查数列的通项公式、等比数列的定义、递推数列、不等式等基础知识和基本技能,同时考查分析、归纳、探究和推理论证问题的能力,在解题过程中也渗透了对函数与方程思想、化归与转化思想的考查.

试题详情

(17)(本小题满分10分)(注意:在试题卷上作答无效)

   已知的内角及其对边满足,求内角

17. [命题意图]本小题主要考查三角恒等变形、利用正弦、余弦定理处理三角形中的边角关系,突出考查边角互化的转化思想的应用.

(18)(本小题满分12分)(注意:在试题卷上作答无效)

   投到某杂志的稿件,先由两位初审专家进行评审.若能通过两位初审专家的评审,

则予以录用;若两位初审专家都未予通过,则不予录用;若恰能通过一位初审专家的评

审,则再由第三位专家进行复审,若能通过复审专家的评审,则予以录用,否则不予录

用.设稿件能通过各初审专家评审的概率均为0.5,复审的稿件能通过评审的概率为0.3.

各专家独立评审.

   (I)求投到该杂志的1篇稿件被录用的概率;

   (II)记表示投到该杂志的4篇稿件中被录用的篇数,求的分布列及期望.

试题详情

16.

[命题意图]本小题主要考查椭圆的方程与几何性质、第二定义、平面向量知识,考查了数形结合思想、方程思想,本题凸显解析几何的特点:“数研究形,形助数”,利用几何性质可寻求到简化问题的捷径.

[解析]如图,,

轴于点D1,则由,得

,所以,

,由椭圆的第二定义得

又由,得,整理得.

两边都除以,得,解得.

试题详情

15.(1,[命题意图]本小题主要考查函数的图像与性质、不等式的解法,着重考查了数形结合的数学思想.

[解析]如图,在同一直角坐标系内画出直线与曲线,观图可知,a的取值必须满足解得.

(16)已知是椭圆的一个焦点,是短轴的一个端点,线段的延长线交于点,且,则的离心率为        .

试题详情


同步练习册答案