题目列表(包括答案和解析)

 0  54439  54447  54453  54457  54463  54465  54469  54475  54477  54483  54489  54493  54495  54499  54505  54507  54513  54517  54519  54523  54525  54529  54531  54533  54534  54535  54537  54538  54539  54541  54543  54547  54549  54553  54555  54559  54565  54567  54573  54577  54579  54583  54589  54595  54597  54603  54607  54609  54615  54619  54625  54633  447348 

3、(2010浙江理数)(4)设,则“”是“”的

(A)充分而不必要条件        (B)必要而不充分条件

(C)充分必要条件          (D)既不充分也不必要条件

解析:因为0<x<,所以sinx<1,故xsin2x<xsinx,结合xsin2x与xsinx的取值范围相同,可知答案选B,本题主要考察了必要条件、充分条件与充要条件的意义,以及转化思想和处理不等关系的能力,属中档题

试题详情

2、(2010浙江理数)(9)设函数,则在下列区间中函数存在零点的是

(A)    (B)   (C)    (D)

解析:将的零点转化为函数的交点,数形结合可知答案选A,本题主要考察了三角函数图像的平移和函数与方程的相关知识点,突出了对转化思想和数形结合思想的考察,对能力要求较高,属较难题

试题详情

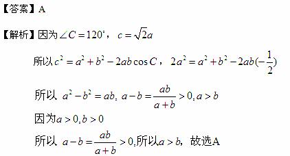
7.(2010湖南文数)在△ABC中,角A,B,C所对的边长分别为a,b,c,若∠C=120°,c=a,则

A.a>b       B.a<b

C. a=b       D.a与b的大小关系不能确定

[命题意图]本题考查余弦定理,特殊角的三角函数值,不等式的性质,比较法,属中档题。

试题详情

1、(2010上海文数)18.若△的三个内角满足,则△

(A)一定是锐角三角形.     (B)一定是直角三角形.

(C)一定是钝角三角形.      (D)可能是锐角三角形,也可能是钝角三角形.

解析:由及正弦定理得a:b:c=5:11:13

    由余弦定理得,所以角C为钝角

试题详情

8.(2010福建理数)设不等式组所表示的平面区域是,平面区域是关于直线对称,对于中的任意一点A与中的任意一点B, 的最小值等于(   )

A.    B.4    C.     D.2

[答案]B

[解析]由题意知,所求的的最小值,即为区域中的点到直线的距离的最小值的两倍,画出已知不等式表示的平面区域,如图所示,

可看出点(1,1)到直线的距离最小,故的最小值为

,所以选B。

试题详情

3.B [命题意图]本小题主要考查线性规划知识、作图、识图能力及计算能力.

[解析]画出可行域(如右图),,由图可知,当直线经过点A(1,-1)时,z最大,且最大值为.

(2010全国卷1理数)(8)设a=2,b=ln2,c=,则

(A) a<b<c   (B)b<c<a  (C) c<a<b   (D) c<b<a

(2010全国卷1理数)

(2010四川文数)(11)设,则的最小值是

(A)1  (B)2  (C)3  (D)4

解析:w_w w. k#s5_

≥2+2=4

当且仅当ab=1,a(ab)=1时等号成立

如取a,b满足条件.

答案:D

(2010四川文数)(8)某加工厂用某原料由车间加工出产品,由乙车间加工出产品.甲车间加工一箱原料需耗费工时10小时可加工出7千克产品,每千克产品获利40元.乙车间加工一箱原料需耗费工时6小时可加工出4千克产品,每千克产品获利50元.甲、乙两车间每天功能完成至多70多箱原料的加工,每天甲、乙车间耗费工时总和不得超过480小时,甲、乙两车间每天获利最大的生产计划为w_w w. k#s5_

(A)甲车间加工原料10箱,乙车间加工原料60箱

(B)甲车间加工原料15箱,乙车间加工原料55箱

(C)甲车间加工原料18箱,乙车间加工原料50箱

(D)甲车间加工原料40箱,乙车间加工原料30箱高^考#资*源^网

解析:解析:设甲车间加工原料x箱,乙车间加工原料y

目标函数z=280x+300y

结合图象可得:当x=15,y=55时z最大

本题也可以将答案逐项代入检验.

答案:Bw_w w. k#s5_

(2010山东理数)

试题详情

10.C [命题意图]本小题以指数、对数为载体,主要考查指数函数与对数函数的性质、实数大小的比较、换底公式、不等式中的倒数法则的应用.

[解析1] a=2=, b=In2=,而,所以a<b,

c==,而,所以c<a,综上c<a<b.

[解析2]a=2=,b=ln2=,  ,c=,∴c<a<b

(2010全国卷1文数)(3)若变量满足约束条件的最大值为

(A)4   (B)3   (C)2   (D)1

试题详情

8.C

[解析]不等式表示的区域是一个三角形,3个顶点是,目标函数取最大值6。

[规律总结]线性规划问题首先作出可行域,若为封闭区域(即几条直线围成的区域)则区域端点的值是目标函数取得最大或最小值,求出直线交点坐标代入目标函数即可求出最大值.

(2010重庆文数)(7)设变量满足约束条件的最大值为

(A)0           (B)2

(C)4           (D)6

解析:不等式组表示的平面区域如图所示,

当直线过点B时,在y轴上截距最小,z最大

由B(2,2)知4

解析:将最大值转化为y轴上的截距,可知答案选A,本题主要考察了用平面区域二元一次不等式组,以及简单的转化思想和数形结合的思想,属中档题

(2010重庆理数)(7)已知x>0,y>0,x+2y+2xy=8,则x+2y的最小值是

A.  3   B.  4   C.      D.

解析:考察均值不等式

,整理得

 即,又

(2010重庆理数)(4)设变量x,y满足约束条件,则z=2x+y的最大值为

A.-2     B.  4   C.  6   D.  8  

解析:不等式组表示的平面区域如图所示

当直线过点B(3,0)的时候,z取得最大值6

(2010北京理数)(7)设不等式组  表示的平面区域为D,若指数函数y=的图像上存在区域D上的点,则a 的取值范围是

   (A)(1,3]     (B )[2,3]     (C ) (1,2]      (D )[ 3, ]

答案:A

(2010四川理数)(12)设,则的最小值是w_w w. k#s5_

(A)2     (B)4     (C)      (D)5

解析:

w_w_w.k*s 5*

≥0+2+2=4

当且仅当a-5c=0,ab=1,a(ab)=1时等号成立

如取a,b,c满足条件.

答案:B

(2010四川理数)(7)某加工厂用某原料由甲车间加工出A产品,由乙车间加工出B产品.甲车间加工一箱原料需耗费工时10小时可加工出7千克A产品,每千克A产品获利40元,乙车间加工一箱原料需耗费工时6小时可加工出4千克B产品,每千克B产品获利50元.甲、乙两车间每天共能完成至多70箱原料的加工,每天甲、乙两车间耗费工时总和不得超过480小时,甲、乙两车间每天总获利最大的生产计划为w_w_w.k*s 5*

(A)甲车间加工原料10箱,乙车间加工原料60箱

(B)甲车间加工原料15箱,乙车间加工原料55箱

(C)甲车间加工原料18箱,乙车间加工原料50箱

(D)甲车间加工原料40箱,乙车间加工原料30箱

解析:设甲车间加工原料x箱,乙车间加工原料y

w_w w. k#s5_

目标函数z=280x+300y

结合图象可得:当x=15,y=55时z最大

本题也可以将答案逐项代入检验.

答案:B w_w_w.k*s 5*

(2010天津文数)(2)设变量x,y满足约束条件则目标函数z=4x+2y的最大值为

(A)12    (B)10   (C)8   (D)2

[答案]B

[解析]本题主要考查目标函数最值的求法,属于容易题,做出可行域,如图由图可知,当目标函数过直线y=1与x+y=3的交点(2,1)时z取得最大值10.

(2010福建文数)

(2010全国卷1文数)(10)设

(A)(B)  (C)  (D)

试题详情

3.(2010江西理数)不等式   高☆考♂资♀源*网的解集是(  )

  A.   B.   C.  D.

[答案] A

[解析]考查绝对值不等式的化简.绝对值大于本身,值为负数.,解得A。

或者选择x=1和x=-1,两个检验进行排除。

(2010安徽文数)(8)设x,y满足约束条件则目标函数z=x+y的最大值是

(A)3         (B) 4         (C) 6        (D)8

试题详情

1.[答案]D

[解析]观察图形可知,则,即对应点H(2,-1),故D正确.

试题详情


同步练习册答案