题目列表(包括答案和解析)

 0  93583  93591  93597  93601  93607  93609  93613  93619  93621  93627  93633  93637  93639  93643  93649  93651  93657  93661  93663  93667  93669  93673  93675  93677  93678  93679  93681  93682  93683  93685  93687  93691  93693  93697  93699  93703  93709  93711  93717  93721  93723  93727  93733  93739  93741  93747  93751  93753  93759  93763  93769  93777  447348 

6.函数的单调减区间为

    A.     B.

    C.   D.

试题详情

5.从装有2个红球和2个黑球的口袋中任取2个球,那么互斥而不对立的两个事件是

    A.“恰有一个黑球”与“恰有两个黑球”      

    B.“至少有一个黑球”与“至少有一个红球”

    C.“至少有一个黑球”与“都是红球” 

    D.“至多有一个黑球”与“都是黑球”

试题详情

4.以下程序运行后的输出结果为

               A.17 

               B.19

               C.23

               D.21

试题详情

3.已知两组样本数据:的平均数为的平均数为,则把这两组数据合并成一组后的平均数为

    A.         B.

    C.        D.

试题详情

2.函数的值域是

    A.       B.

    C.        D.

试题详情

1.某企业有职工150分,其中高级技工15人,中级计工40人,一般工人95人。现用分层抽样的方法抽取30人,则各类职工被抽取的人数分别为

    A.3,8,19   B.5,9,16    C.3,10,17    D.6,10,14

试题详情

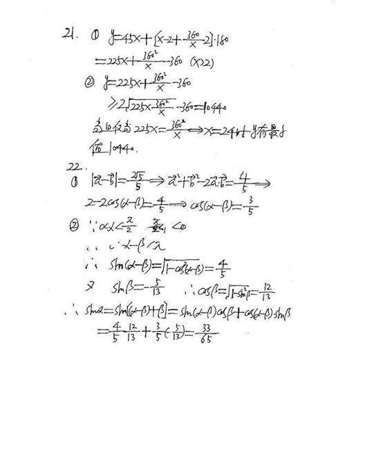
22.(本小题满分15分)

    已知:向量

    (1)求:的值;

    (2)若,且,求:的值。

试题详情

21.(本题满分14分)

  围建一个面积为360m2的矩形场地,要求矩形场地的一面利用旧墙(利用旧墙需维修),其它三面围墙要新建,在旧墙的对面的新墙上要留一个宽度为2m的进出口,已知旧墙的维修费用为45元/m,新墙的造价为180元/m,设利用的旧墙的长度为x m,围墙的总费用为y元

(Ⅰ)将y表示为x的函数:

(Ⅱ)试确定x,使修建此矩形场地围墙的总费用最小,并求出最小总费用。

试题详情

20.(本题14分)        

,xy=2,若x+y-k≥0对任意、恒成立,求实数k的取值范围

试题详情

19.(本题满分14分)

    已知:函数

    (1)求:f(x)的值域及最小正周期;

    (2)求:f(x)的单调减区间;

    (3)若,求:sin2x的值。

试题详情


同步练习册答案