题目列表(包括答案和解析)

 0  52385  52393  52399  52403  52409  52411  52415  52421  52423  52429  52435  52439  52441  52445  52451  52453  52459  52463  52465  52469  52471  52475  52477  52479  52480  52481  52483  52484  52485  52487  52489  52493  52495  52499  52501  52505  52511  52513  52519  52523  52525  52529  52535  52541  52543  52549  52553  52555  52561  52565  52571  52579  447348 

1.已知sinα=,并且a是第二象限的角,那么tanα的值等于( A  ).

     A、–    B.、–     C、     D、

试题详情

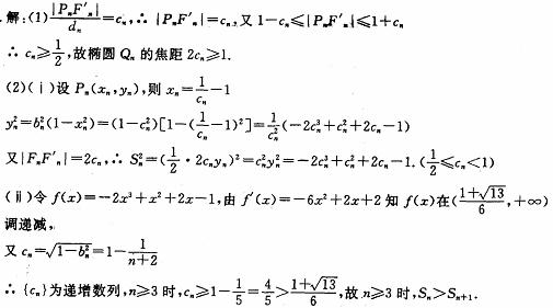
16、已知一列椭圆。若椭圆上有一点,且

右准线的距离等于.分别是的左、右焦点

(Ⅰ)求证:椭圆的焦距 不小于;(Ⅱ)用表示△的面积,取;①试用表示;②当时,求证.

试题详情

15、圆C(为参数)的普通方程为        ,设O为坐标原点,点C上运动,点是线段OM的中点,则点P的轨迹方程为  

答案为:

试题详情

14、关于二项式,有下列三个命题:①.该二项式展开式中非常数项的系数和是; ②.该二项式展开式中第项是;③.当时,除以的余数是.其中正确命题的序号是       (把你认为正确的序号都填上).

答案为:①、③

试题详情

13、已知等差数列有一性质:若是等差数列,则通项为的数列也是等差数列,类似上述命题,相应的等比数列有性质:若是等比数列,则通项为=____________的数列也是等比数列.        答案为:   

试题详情

12、(文科)过原点作曲线的切线,则切点的坐标为     ,切线的斜率为     .

(理科)过原点作曲线的切线l,则曲线C、切线ly轴所围成封闭区域的面积为    .             答案为:(1,e);   e()

试题详情

11、已知平面内的向量满足:

,则点的集合所构成的图形的面积为  

                             答案为:

试题详情

10、已知抛物线,过点)作倾斜角为的直线,若与抛物线交于两点,弦的中点y轴的距离为(    A ).

A.       B.       C.       D.

试题详情

9、已知公差不为零的等差数列与等比数列满足:

 ,那么(  C).

A.    B.  

C.    D.

试题详情

8、如图,该程序运行后输出的结果为( C  ).

   A.36   B.56    C.55    D.45

试题详情


同步练习册答案