题目列表(包括答案和解析)

 0  54419  54427  54433  54437  54443  54445  54449  54455  54457  54463  54469  54473  54475  54479  54485  54487  54493  54497  54499  54503  54505  54509  54511  54513  54514  54515  54517  54518  54519  54521  54523  54527  54529  54533  54535  54539  54545  54547  54553  54557  54559  54563  54569  54575  54577  54583  54587  54589  54595  54599  54605  54613  447348 

(1)    已知集合},,则

(A)(0,2)      (B)[0,2]     (C){0,2]      (D){0,1,2}

(2)已知复数是z的共轭复数,则=

A.      B.     C.1        D.2

(3)曲线在点(-1,-1)处的切线方程为

(A)y=2x+1      (B)y=2x-1   C y=-2x-3    D.y=-2x-2

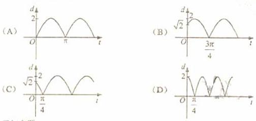
(4)如图,质点P在半径为2的圆周上逆时针运动,其初始位置为P0(,-),角速度为1,那么点P到x轴距离d关于时间t的函数图像大致为

(5)已知命题

:函数在R为增函数,

:函数在R为减函数,

则在命题中,真命题是

(A)   (B)   (C)    (D)

(6)某种种子每粒发芽的概率都为0.9,现播种了1000粒,对于没有发芽的种子,每粒需再补种2粒,补种的种子数记为X,则X的数学期望为

(A)100     (B)200     (C)300      (D)400

(7)如果执行右面的框图,输入,则输出的数等于

(A)

(B)

(C)

(D)

(8)设偶函数满足,则

(A)                   (B)

(C)                     (D)

(9)若是第三象限的角,则

(A)       (B)      (C) 2    (D) -2

(10)设三棱柱的侧棱垂直于底面,所有棱长都为,顶点都在一个球面上,则该球的表面积为

(A)       (B)      (C)   (D)

(11)已知函数互不相等,且的取值范围是

(A)     (B)      (C)          (D)

(12)已知双曲线的中心为原点,的焦点,过F的直线相交于A,B两点,且AB的中点为,则的方程式为

(A)   (B)       (C)       (D)

第Ⅱ卷

本卷包括必考题和选考题两部分,第(13)题~第(21)题为必考题,每个试题考生都必须做答,第(22)题~第(24)题为选考题,考试根据要求做答。

试题详情

21.本题设有(1)(2)(3)三个选考题,每题7分,请考生任选2题做答,满分14分。如果多做,则按所做的前两题计分。作答时,先用2B铅笔在答题卡上把所选题目对应的题号涂黑,并将所选题号填入括号中。

(1)(本小题满分7分)选修4-2:矩阵与变换

已知矩阵M=,且

(Ⅰ)求实数的值;(Ⅱ)求直线在矩阵M所对应的线性变换下的像的方程。

(2)(本小题满分7分)选修4-4:坐标系与参数方程

在直角坐标系xoy中,直线的参数方程为(t为参数)。在极坐标系(与直角坐标系xoy取相同的长度单位,且以原点O为极点,以x轴正半轴为极轴)中,圆C的方程为

(Ⅰ)求圆C的直角坐标方程;(Ⅱ)设圆C与直线交于点A、B,若点P的坐标为

求|PA|+|PB|。

(3)(本小题满分7分)选修4-5:不等式选讲

已知函数K^S*5U.C#O%

(Ⅰ)若不等式的解集为,求实数的值;

(Ⅱ)在(Ⅰ)的条件下,若对一切实数x恒成立,求实数m的取值范围。

(1)选修4-2:矩阵与变换

[命题意图]本小题主要考查矩阵与变换等基础知识,考查运算求解能力。K^S*5U.C#O%

[解析](Ⅰ)由题设得,解得

(Ⅱ)因为矩阵M所对应的线性变换将直线变成直线(或点),所以可取直线上的两(0,0),(1,3),

得:点(0,0),(1,3)在矩阵M所对应的线性变换下的像是(0,0),(-2,2),从而

直线在矩阵M所对应的线性变换下的像的方程为

(2)选修4-4:坐标系与参数方程

[命题意图]本小题主要考查直线的参数方程、圆的极坐标方程、直线与圆的位置关系等基础知识,考查运算求解能力。

[解析](Ⅰ)由

(Ⅱ)将的参数方程代入圆C的直角坐标方程,得

由于,故可设是上述方程的两实根,

所以故由上式及t的几何意义得:

|PA|+|PB|==

(3)选修4-5:不等式选讲

[命题意图]本小题主要考查绝对值的意义、绝对值不等式等基础知识,考查运算求解能力。

[解析](Ⅰ)由,解得K^S*5U.C#O%

又已知不等式的解集为,所以,解得

(Ⅱ)当时,,设,于是

=,所以

时,;当时,;当时,

试题详情

20.(本小题满分14分)

(Ⅰ)已知函数

(i)求函数的单调区间;

(ii)证明:若对于任意非零实数,曲线C与其在点处的切线交于另一点

,曲线C与其在点处的切线交于另一点,线段

(Ⅱ)对于一般的三次函数(Ⅰ)(ii)的正确命题,并予以证明。[.comZ*X*X*K]

[命题意图]本小题主要考查函数、导数、定积分等基础知识,考查抽象概括能力、运算求解能力、推理论证能力,考查函数与方程思想、数形结合思想、化归与转化思想、特殊与一般思想。

[解析](Ⅰ)(i)由=

时,

时,

因此,的单调递增区间为,单调递减区间为

试题详情

19.(本小题满分13分)

,轮船位于港口O北偏西且与该港口相距20海里的A处,并以30海里/小时的航行速度沿正东方向匀速行驶。假设该小船沿直线方向以海里/小时的航行速度匀速行驶,经过t小时与轮船相遇。

(1)若希望相遇时小艇的航行距离最小,则小艇航行速度的大小应为多少?

(2)假设小艇的最高航行速度只能达到30海里/小时,试设计航行方案(即确定航行方向与航行速度的大小),使得小艇能以最短时间与轮船相遇,并说明理由。

[解析]如图,由(1)得

而小艇的最高航行速度只能达到30海里/小时,故轮船与小艇不可能在A、C(包含C)的任意位置相遇,设,OD=

由于从出发到相遇,轮船与小艇所需要的时间分别为

所以,解得

从而值,且最小值为,于是

取得最小值,且最小值为

此时,在中,,故可设计航行方案如下:

航行方向为北偏东,航行速度为30海里/小时,小艇能以最短时间与轮船相遇。

试题详情

17.(本小题满分13分)

已知中心在坐标原点O的椭圆C经过点A(2,3),且点F(2,0)为其右焦点。

(1)求椭圆C的方程;

(2)是否存在平行于OA的直线,使得直线与椭圆C有公共点,且直线OA与的距离等于4?若存在,求出直线的方程;若不存在,请说明理由。

[命题意图]本小题主要考查直线、椭圆等基础知识,考查运算求解能力、推理论证能力,考查函数与方程思想、数形结合思想、化归与转化思想。 [解析](1)依题意,可设椭圆C的方程为,且可知左焦点为

概率为

(i)当点C在圆周上运动时,求的最大值;

(ii)记平面与平面所成的角为,当取最大值时,求的值。

[命题意图]本小题主要考查直线与直线、直线与平面、平面与平面的位置关系,以及几何体的体积、几何概型等基础知识,考查空间想象能力、运算求解能力、推理论证能力,考查数形结合思想、化归与转化思想、必然与或然思想。

[解析](Ⅰ)因为平面ABC,平面ABC,所以

因为AB是圆O直径,所以,又,所以平面

平面,所以平面平面K^S*5U.C#O%

(Ⅱ)(i)设圆柱的底面半径为,则AB=,故三棱柱的体积为

=,又因为

所以=,当且仅当时等号成立,

从而,而圆柱的体积

=当且仅当,即时等号成立,

所以的最大值是K^S*5U.C#O%

(ii)由(i)可知,取最大值时,,于是以O为坐标原点,建立空间直角坐标系(如图),则C(r,0,0),B(0,r,0),(0,r,2r),

因为平面,所以是平面的一个法向量,

设平面的法向量,由,故

得平面的一个法向量为,因为

所以

试题详情

15.已知定义域为的函数满足:①对任意,恒有成立;当时,。给出如下结论:

①对任意,有;②函数的值域为;③存在,使得;④“函数在区间上单调递减”的充要条件是 “存在,使得

”。

其中所有正确结论的序号是        

[答案]①②④

[解析]对①,因为,所以,故①正确;经分析,容易得出②④也正确。

[命题意图]本题考查函数的性质与充要条件,熟练基础知识是解答好本题的关键。


0
1
4
9
P




所以=

试题详情

14.已知函数的图象的对称轴完全相同。若,则的取值范围是      

[答案]

[解析]由题意知,,因为,所以,由三角函数图象知:

的最小值为,最大值为,所以的取值范围是

[命题意图]本题考查三角函数的图象与性质,考查了数形结合的数学思想。

试题详情

13.某次知识竞赛规则如下:在主办方预设的5个问题中,选手若能连续正确回答出两个问题,即停止答题,晋级下一轮。假设某选手正确回答每个问题的概率都是,且每个问题的回答结果相互独立,则该选手恰好回答了4个问题就晋级下一轮的概率等于     

[答案]0.128

[解析]由题意知,所求概率为

[命题意图]本题考查独立重复试验的概率,考查基础知识的同时,进一步考查同学们的分析问题、解决问题的能力。K^S*5U.C#O%

试题详情

12.若一个底面是正三角形的三棱柱的正视图如图所示,则其表面积等于     

[答案]

[解析]由正视图知:三棱柱是以底面边长为2,高为1的正三棱柱,所以底面积为

,侧面积为,所以其表面积为K^S*5U.C#O%

[命题意图]本题考查立体几何中的三视图,考查同学们识图的能力、空间想象能力等基本能力。

试题详情

11.在等比数列中,若公比,且前3项之和等于21,则该数列的通项公式    

[答案]

[解析]由题意知,解得,所以通项

[命题意图]本题考查等比数列的通项公式与前n项和公式的应用,属基础题。

试题详情


同步练习册答案