题目列表(包括答案和解析)

 0  54580  54588  54594  54598  54604  54606  54610  54616  54618  54624  54630  54634  54636  54640  54646  54648  54654  54658  54660  54664  54666  54670  54672  54674  54675  54676  54678  54679  54680  54682  54684  54688  54690  54694  54696  54700  54706  54708  54714  54718  54720  54724  54730  54736  54738  54744  54748  54750  54756  54760  54766  54774  447348 

11.(2009泰安一模)已知函数y=f(x)与互为反函数,函数y=g(x)的图像与y=f(x)图像关于x轴对称,若g(a)=1,则实数a值为

   (A)-e   (B)    (C)    (D) e

答案 C

试题详情

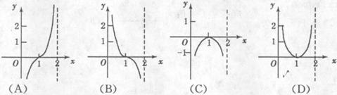
10.(2009日照一模)(函数的图象如右图所示,则函数的图象大致是

答案 C

试题详情

9.(2009日照一模)(6)函数的零点一定位于区间

    A.(1,2)  B.(2,3)  C.(3,4)   D.(4,5)

答案 A

试题详情

8.(2009青岛一模)设奇函数上为增函数,且,则不等式的解集为

A. B. C.  D.

答案 D

试题详情

7.(2009云南师大附中)若函数

   A.        B.          C.       D.

答案 B

试题详情

6.(2009临沂一模)设f(x)是连续的偶函数,且当x >0时是单调函数,则满足f(2x)=f()的所有x之和为

A、      B、     C、-8     D、8

答案 C

试题详情

5.(2009玉溪一中期末)若函数f(x)=x3(x∈R),则函数y=f(-x)在其定义域上是

  A.单调递减的偶函数          B.单调递减的奇函数

  C.单凋递增的偶函数          D.单涮递增的奇函数

答案 B

试题详情

4.(2009临沂一模)已知函数f(x)=,若x0是方程f(x)=0的解,且0<x1<x0,则f(x1)的值为

A.恒为正值     B.等于0    C.恒为负值    D.不大于0

答案 A

试题详情

3.(2009番禺一模)已知函数,则(  )

A.        B.        C.      D.1或

答案 C

试题详情

2.(2009聊城一模)已知函数上的奇函数,

  当x>0时,的大致图象为                    (   )

答案 B

试题详情


同步练习册答案